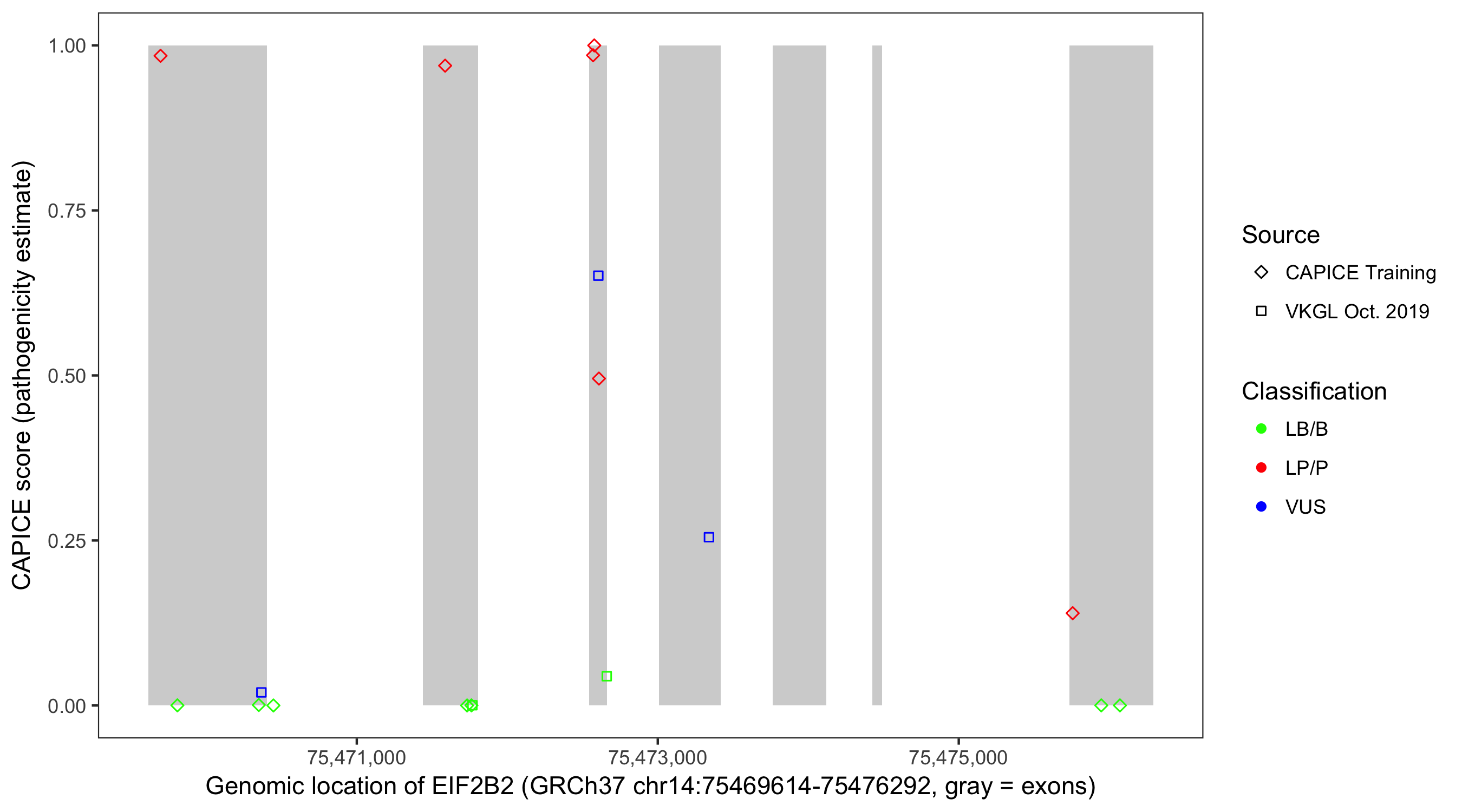
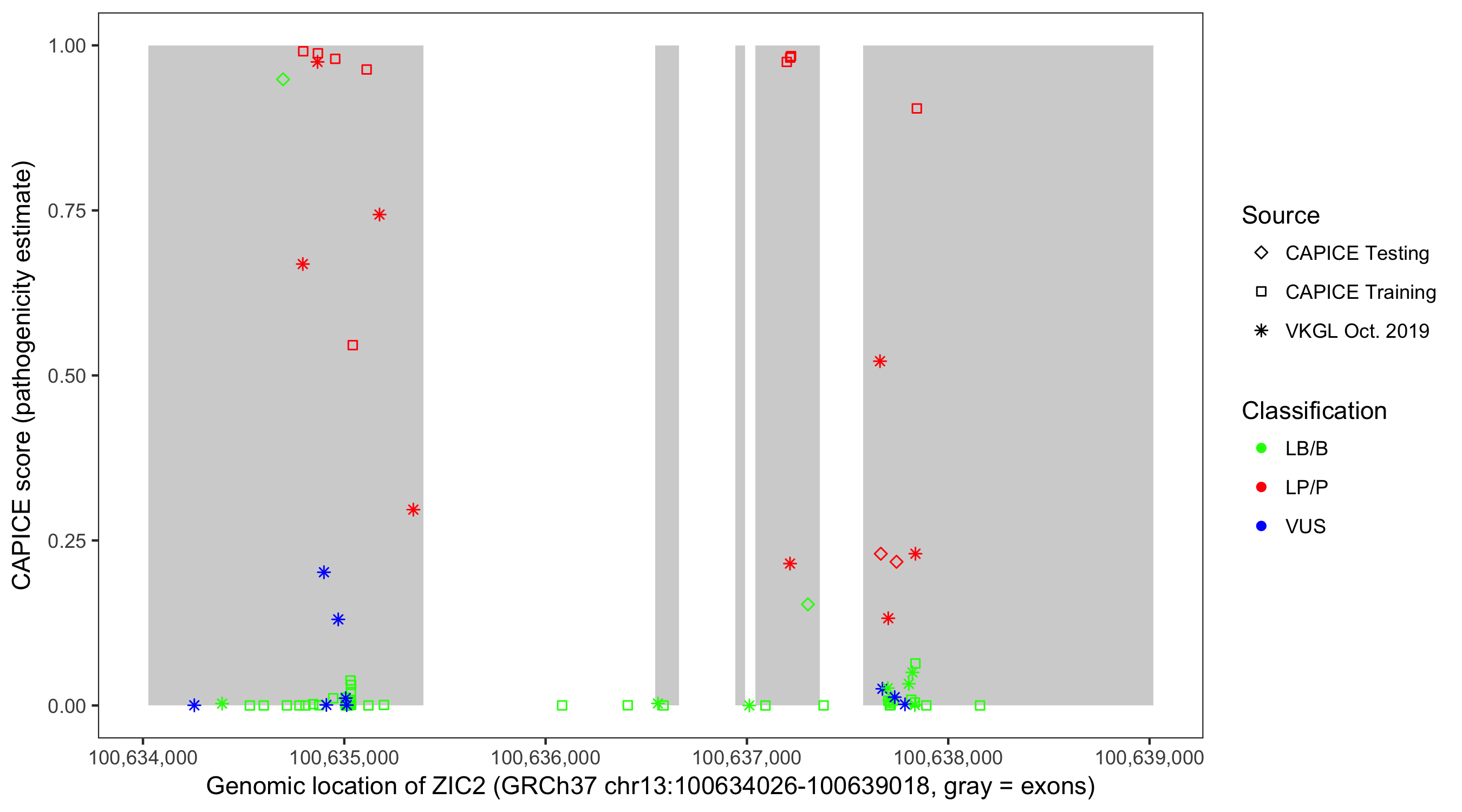
CAPICE gene plots.
Shown are CAPICE train/test variants plus VKGL Oct 2019.
Exons/genes used are Ensembl GRCh37 Chr1-22+XY, with HGNC Symbols only.
Showing 8,353 genes with 5+ pathogenic and 5+ benign variants.
Use CTRL+F / CMD+F to search.
A1CF
A2ML1
A2ML1-AS1
A2MP1
AAAS
AAK1
AAMDC
AARS2
AASDH
AASS
ABAT
ABCA1
ABCA10
ABCA11P
ABCA12
ABCA13
ABCA17P
ABCA3
ABCA4
ABCA5
ABCA8
ABCA9
ABCB1
ABCB11
ABCB4
ABCB5
ABCB7
ABCB9
ABCC1
ABCC10
ABCC11
ABCC13
ABCC2
ABCC3
ABCC4
ABCC6
ABCC6P1
ABCC8
ABCC9
ABCD1
ABCD1P3
ABCD2
ABCD4
ABCG1
ABCG2
ABCG5
ABCG8
ABHD12
ABHD17C
ABHD2
ABHD8
ABI1
ABI3BP
ABL1
ABLIM1
ABLIM2
ABLIM3
ABR
ACAA1
ACACA
ACAD10
ACAD8
ACAD9
ACADM
ACADS
ACADSB
ACADVL
ACAN
ACAP1
ACAT1
ACBD4
ACBD6
ACCS
ACCSL
ACE
ACE2
ACER2
ACER3
ACIN1
ACLY
ACO1
ACO2
ACOT1
ACOT12
ACOT7
ACOT8
ACOT9
ACOX1
ACOX3
ACOXL
ACPL2
ACSBG1
ACSBG2
ACSF2
ACSF3
ACSL4
ACSL6
ACSM3
ACSS1
ACSS3
ACTA1
ACTA2
ACTA2-AS1
ACTB
ACTC1
ACTG1
ACTG2
ACTL8
ACTN1
ACTN2
ACTN4
ACTR3B
ACTR6
ACVR1
ACVR2B
ACVRL1
ACYP2
ADA
ADAL
ADAM10
ADAM12
ADAM17
ADAM18
ADAM19
ADAM20P1
ADAM22
ADAM28
ADAM32
ADAM3A
ADAM5
ADAM7
ADAM9
ADAMTS12
ADAMTS13
ADAMTS16
ADAMTS17
ADAMTS18
ADAMTS19
ADAMTS2
ADAMTS20
ADAMTS3
ADAMTS6
ADAMTS7P3
ADAMTS9
ADAMTS9-AS1
ADAMTS9-AS2
ADAMTSL1
ADAMTSL3
ADAMTSL4
ADAMTSL5
ADAP1
ADAP2
ADAR
ADARB2
ADARB2-AS1
ADCK1
ADCK3
ADCK4
ADCY1
ADCY10P1
ADCY2
ADCY5
ADCY6
ADCY7
ADCY8
ADCY9
ADD1
ADD2
ADD3
ADGB
ADH6
ADH7
ADHFE1
ADIPOR2
ADK
ADNP
ADNP2
ADORA2A
ADORA3
ADRA1A
ADRB3
ADRBK2
ADSL
AEBP1
AEBP2
AFAP1
AFAP1L1
AFF1
AFF2
AFF3
AFG3L1P
AFG3L2
AFM
AFMID
AFP
AGA
AGAP1
AGAP2
AGAP6
AGAP8
AGBL1
AGBL2
AGBL4
AGBL4-IT1
AGFG1
AGFG2
AGK
AGL
AGMAT
AGMO
AGO1
AGO3
AGO4
AGPAT2
AGPAT3
AGPAT4
AGPAT5
AGPAT6
AGPS
AGR2
AGRN
AGTPBP1
AGTR1
AGXT
AHCY
AHCYL2
AHDC1
AHI1
AHNAK
AHR
AHRR
AIFM1
AIFM2
AIP
AIPL1
AIRE
AJAP1
AK2
AK3
AK4
AK5
AK7
AK8
AK9
AKAP10
AKAP13
AKAP17A
AKAP2
AKAP6
AKAP8L
AKIRIN2
AKNA
AKNAD1
AKR1A1
AKR1B1
AKR1C1
AKR1C3
AKR1C4
AKR1D1
AKR1E2
AKT2
AKT3
ALCAM
ALDH18A1
ALDH1A1
ALDH1A2
ALDH1L1
ALDH1L1-AS2
ALDH1L2
ALDH3A2
ALDH3B2
ALDH4A1
ALDH5A1
ALDH7A1
ALDOA
ALDOB
ALG1
ALG11
ALG12
ALG13
ALG14
ALG1L13P
ALG1L2
ALG1L3P
ALG3
ALG6
ALG9
ALK
ALKBH1
ALKBH3
ALKBH8
ALMS1
ALMS1-IT1
ALMS1P
ALOX12B
ALOX5
ALOX5AP
ALOXE3
ALPK2
ALPK3
ALPL
ALS2
ALS2CL
ALX4
AMDHD2
AMER1
AMFR
AMHR2
AMIGO2
AMIGO3
AMMECR1
AMMECR1L
AMN1
AMOTL1
AMPD2
AMPD3
AMPH
AMT
AMZ1
ANAPC1
ANAPC10
ANAPC16
ANAPC4
ANAPC5
ANAPC7
ANGEL1
ANGPT1
ANGPT2
ANGPT4
ANGPTL3
ANK1
ANK2
ANK3
ANKDD1A
ANKDD1B
ANKEF1
ANKFN1
ANKFY1
ANKH
ANKLE1
ANKLE2
ANKRD11
ANKRD17
ANKRD18A
ANKRD19P
ANKRD20A11P
ANKRD20A2
ANKRD20A3
ANKRD20A5P
ANKRD20A7P
ANKRD20A8P
ANKRD20A9P
ANKRD23
ANKRD26
ANKRD27
ANKRD28
ANKRD29
ANKRD30A
ANKRD30B
ANKRD30BP1
ANKRD31
ANKRD32
ANKRD33B
ANKRD36
ANKRD36B
ANKRD40
ANKRD46
ANKRD49
ANKRD54
ANKRD55
ANKRD6
ANKRD60
ANKRD66
ANKRD7
ANKS1A
ANKS1B
ANKS4B
ANKS6
ANKUB1
ANLN
ANO1
ANO10
ANO2
ANO3
ANO4
ANO5
ANO6
ANO8
ANO9
ANP32AP1
ANP32B
ANTXR1
ANTXR2
ANTXRL
ANTXRLP1
ANXA13
ANXA2
ANXA2R
ANXA3
ANXA4
ANXA6
ANXA8
ANXA8L1
AOAH
AOC1
AP1B1P1
AP1G1
AP2A1
AP2A2
AP2B1
AP2S1
AP3B1
AP3D1
AP3M2
AP4B1
AP4B1-AS1
AP4E1
AP4M1
AP4S1
AP5B1
AP5M1
APBA1
APBA2
APBB1IP
APBB2
APC
APC2
APCDD1
APCDD1L-AS1
APIP
APLF
APLN
APOA1
APOA1-AS
APOA5
APOB
APOBEC1
APOBEC2
APOBEC3D
APOBEC3G
APOC2
APOC3
APOC4
APOC4-APOC2
APOE
APOL3
APOL4
APOLD1
APOO
APP
APPL1
APTX
AQP1
AQP11
AQP2
AQP3
AQP4-AS1
AQP6
AQP7
AQR
AR
ARAP2
ARFGAP3
ARFGEF1
ARFGEF2
ARFIP1
ARG1
ARHGAP1
ARHGAP10
ARHGAP11A
ARHGAP11B
ARHGAP12
ARHGAP15
ARHGAP17
ARHGAP19
ARHGAP19-SLIT1
ARHGAP20
ARHGAP22
ARHGAP23
ARHGAP23P1
ARHGAP24
ARHGAP25
ARHGAP26
ARHGAP27
ARHGAP31
ARHGAP32
ARHGAP35
ARHGAP4
ARHGAP42
ARHGAP44
ARHGAP5
ARHGAP6
ARHGAP8
ARHGEF1
ARHGEF10
ARHGEF10L
ARHGEF12
ARHGEF16
ARHGEF17
ARHGEF26-AS1
ARHGEF28
ARHGEF3
ARHGEF35
ARHGEF4
ARHGEF6
ARHGEF7
ARHGEF7-IT1
ARHGEF9
ARID1A
ARID1B
ARID2
ARID3B
ARID4A
ARIH2OS
ARL13B
ARL15
ARL5A
ARL5B
ARL6
ARL6IP6
ARL9
ARMC1
ARMC3
ARMC4
ARMC6
ARMC7
ARMCX3
ARMCX4
ARNT2
ARNTL
ARNTL2
ARPC1B
ARPC4-TTLL3
ARPP19
ARPP21
ARRB1
ARRDC1
ARRDC2
ARSA
ARSB
ARSE
ARSF
ARSG
ARSI
ARSJ
ART3
ARX
ASAH1
ASAH2
ASAH2B
ASAH2C
ASAP1
ASAP2
ASAP3
ASB11
ASB13
ASB15
ASB7
ASB8
ASB9
ASCC1
ASCC2
ASCC3
ASF1A
ASGR2
ASH1L
ASIC2
ASIP
ASL
ASMTL
ASNS
ASPA
ASPH
ASPM
ASPSCR1
ASRGL1
ASS1
ASTN1
ASTN2
ASUN
ASXL1
ASXL2
ASXL3
ATAD1
ATAD2B
ATAD3A
ATAD3B
ATAD3C
ATAD5
ATCAY
ATE1
ATF1
ATF6
ATF7
ATF7IP2
ATG10
ATG13
ATG14
ATG4A
ATG7
ATHL1
ATL1
ATL2
ATL3
ATM
ATN1
ATP10A
ATP10B
ATP10D
ATP11A
ATP11B
ATP13A1
ATP13A2
ATP13A5
ATP1A1
ATP1A1OS
ATP1A2
ATP1A3
ATP1B2
ATP2A1
ATP2A2
ATP2A3
ATP2B1
ATP2B2
ATP2B3
ATP2C1
ATP5J
ATP6AP1L
ATP6V0A2
ATP6V0A4
ATP6V0C
ATP6V0D1
ATP6V0D2
ATP6V1B1
ATP6V1B2
ATP6V1C2
ATP6V1D
ATP6V1E2
ATP6V1G2-DDX39B
ATP6V1H
ATP7A
ATP7B
ATP8A1
ATP8A2
ATP8A2P3
ATP8B1
ATP8B3
ATP8B4
ATP8B5P
ATP9A
ATP9B
ATPAF1
ATPAF2
ATRN
ATRNL1
ATRX
ATXN1
ATXN10
ATXN1L
ATXN2
ATXN7
ATXN7L1
ATXN7L2
AUH
AUTS2
AVL9
AVPR2
AXDND1
AXIN1
AXIN2
AZI1
B3GALNT2
B3GALT5
B3GALTL
B3GAT1
B3GAT2
B3GAT3
B3GNTL1
B4GALNT3
B4GALT1
B4GALT4
B4GALT4-AS1
B4GALT5
B4GALT6
B4GALT7
B9D2
BAALC
BABAM1
BACE1
BACE2
BACH1
BACH1-IT1
BACH2
BAG3
BAGE2
BAHD1
BAI2
BAI3
BAIAP2L1
BAIAP3
BANF2
BANK1
BANP
BAP1
BARD1
BARX2
BASP1
BAZ1A
BAZ1B
BAZ2A
BAZ2B
BBOX1
BBS1
BBS10
BBS12
BBS2
BBS4
BBS5
BBS7
BBS9
BBX
BCAR1
BCAR3
BCAS1
BCAS2
BCAS3
BCAS4
BCAT1
BCHE
BCKDHA
BCKDHB
BCL11A
BCL11B
BCL2L11
BCL2L13
BCL2L14
BCL7C
BCO2
BCOR
BCORP1
BCR
BCRP3
BCS1L
BDNF
BDNF-AS
BEAN1
BEND2
BEND3
BEND4
BEND6
BEST1
BET1
BFSP1
BFSP2
BHLHB9
BHLHE40
BHLHE40-AS1
BICC1
BICD1
BICD2
BIN1
BIN2
BIRC5
BIRC6
BIVM
BIVM-ERCC5
BLK
BLM
BLNK
BLOC1S5-TXNDC5
BLVRA
BMP1
BMP2K
BMP5
BMP6
BMP7
BMP8A
BMPER
BMPR1A
BMPR1B
BMPR2
BMS1
BMS1P1
BMS1P15
BMS1P5
BMX
BNC2
BNIP3L
BPI
BPIFA1
BPIFA2
BPIFA3
BPIFB1
BPIFB3
BPIFB4
BPIFC
BPTF
BRAF
BRAP
BRAT1
BRCA1
BRCA2
BRD2
BRD4
BRD7
BRD9
BRDT
BRE
BRI3
BRINP1
BRINP3
BRIP1
BRIX1
BRMS1L
BRPF1
BRSK2
BRWD1
BRWD1-AS1
BRWD3
BSDC1
BTAF1
BTBD10
BTBD11
BTBD7
BTBD9
BTC
BTD
BTF3L4
BTF3P13
BTG3
BTG4
BTK
BTN1A1
BTN2A1
BTN2A3P
BTN3A1
BTNL2
BTNL8
BTRC
BUB1B
BUD31
BZRAP1-AS1
C10orf105
C10orf11
C10orf128
C10orf40
C10orf54
C10orf55
C10orf67
C10orf71
C10orf90
C11orf30
C11orf44
C11orf49
C11orf53
C11orf54
C11orf63
C11orf65
C11orf74
C11orf80
C11orf95
C12orf23
C12orf29
C12orf40
C12orf42
C12orf49
C12orf50
C12orf54
C12orf55
C12orf56
C12orf65
C12orf73
C12orf79
C14orf105
C14orf159
C14orf164
C14orf166B
C14orf37
C15orf26
C15orf27
C15orf41
C15orf53
C15orf60
C15orf61
C15orf62
C16orf45
C16orf52
C16orf62
C16orf78
C16orf80
C16orf91
C16orf92
C16orf95
C16orf97
C17orf102
C17orf103
C17orf104
C17orf107
C17orf112
C17orf51
C17orf72
C17orf75
C17orf78
C18orf25
C18orf54
C18orf56
C18orf63
C18orf64
C19orf12
C19orf25
C19orf45
C19orf54
C19orf55
C19orf81
C1GALT1
C1QL1
C1QTNF3
C1QTNF5
C1QTNF7
C1R
C1S
C1orf109
C1orf112
C1orf122
C1orf123
C1orf137
C1orf141
C1orf168
C1orf174
C1orf185
C1orf222
C1orf228
C1orf43
C1orf50
C1orf63
C1orf86
C1orf94
C2
C20orf112
C20orf166
C20orf194
C20orf196
C20orf203
C20orf26
C20orf96
C21orf91-OT1
C22orf24
C22orf34
C22orf39
C22orf46
C2CD2
C2CD3
C2orf15
C2orf42
C2orf43
C2orf61
C2orf71
C2orf78
C3
C3P1
C3orf14
C3orf17
C3orf20
C3orf33
C3orf35
C3orf67
C3orf72
C4A
C4orf17
C4orf19
C4orf22
C4orf40
C5
C5AR1
C5orf17
C5orf22
C5orf28
C5orf34
C5orf42
C5orf51
C5orf52
C5orf56
C5orf66
C6
C6orf10
C6orf106
C6orf132
C6orf141
C6orf165
C6orf201
C6orf203
C6orf48
C6orf58
C6orf62
C7
C7orf26
C7orf50
C7orf55-LUC7L2
C7orf60
C7orf63
C7orf65
C7orf69
C7orf71
C8A
C8B
C8orf12
C8orf34
C8orf44
C8orf44-SGK3
C8orf46
C8orf74
C8orf86
C9
C9orf153
C9orf156
C9orf171
C9orf3
C9orf40
C9orf64
C9orf9
C9orf92
CA1
CA10
CA5A
CA5B
CA8
CAAP1
CABIN1
CABLES1
CABP5
CABYR
CACHD1
CACNA1A
CACNA1B
CACNA1C
CACNA1C-AS1
CACNA1C-IT1
CACNA1C-IT2
CACNA1D
CACNA1E
CACNA1F
CACNA1G
CACNA1H
CACNA1I
CACNA1S
CACNA2D1
CACNA2D2
CACNA2D3
CACNA2D4
CACNB2
CACNB4
CACNG2
CACNG3
CACNG8
CACUL1
CAD
CADM1
CADM2
CADM4
CADPS
CADPS2
CAGE1
CALCB
CALCOCO2
CALM1
CALM3
CALML3
CALML3-AS1
CALN1
CAMK1D
CAMK2B
CAMK2D
CAMK2G
CAMK4
CAMKK1
CAMKK2
CAMKMT
CAMP
CAMTA1
CAND1
CAND2
CANT1
CAP1P2
CAP2
CAPN1
CAPN11
CAPN12
CAPN13
CAPN3
CAPN5
CAPN7
CAPRIN2
CAPS2
CAPZB
CARD11
CARD14
CARD8
CARM1P1
CARS
CARS2
CASC1
CASC11
CASC15
CASC16
CASC17
CASC19
CASC20
CASC3
CASC4
CASC5
CASC8
CASC9
CASK
CASK-AS1
CASKIN2
CASP14
CASQ2
CASR
CAST
CASZ1
CATSPERB
CATSPERD
CATSPERG
CAV3
CBFA2T2
CBFA2T3
CBL
CBLB
CBLN2
CBR4
CBS
CBWD3
CBWD5
CBWD6
CBWD7
CBX1P2
CBX5
CBX6
CBX8
CBY1
CC2D1A
CC2D2A
CCAR1
CCBE1
CCBL2
CCDC102A
CCDC102B
CCDC109B
CCDC11
CCDC114
CCDC117
CCDC120
CCDC124
CCDC125
CCDC126
CCDC129
CCDC13
CCDC130
CCDC132
CCDC135
CCDC138
CCDC14
CCDC144B
CCDC144CP
CCDC144NL
CCDC146
CCDC149
CCDC152
CCDC158
CCDC170
CCDC171
CCDC173
CCDC178
CCDC180
CCDC26
CCDC3
CCDC30
CCDC37
CCDC39
CCDC40
CCDC41
CCDC43
CCDC50
CCDC53
CCDC6
CCDC62
CCDC64
CCDC68
CCDC7
CCDC70
CCDC73
CCDC77
CCDC80
CCDC84
CCDC85A
CCDC88A
CCDC88C
CCDC9
CCDC91
CCER1
CCKAR
CCKBR
CCL11
CCL2
CCL28
CCM2
CCNA1
CCNB1IP1
CCNB2
CCNB3
CCND2
CCND3
CCNDBP1
CCNG2
CCNO
CCNT1
CCNY
CCNYL2
CCP110
CCPG1
CCR1
CCR3
CCR4
CCSER1
CCSER2
CCT4
CCT6B
CCT6P3
CCT7
CCZ1
CD109
CD163
CD163L1
CD180
CD2
CD200R1L
CD209
CD22
CD226
CD247
CD27
CD27-AS1
CD276
CD2AP
CD300LG
CD36
CD38
CD40LG
CD44
CD47
CD59
CD70
CD74
CD81-AS1
CD82
CD8B
CD9
CD96
CD99
CD99P1
CDA
CDADC1
CDAN1
CDC14A
CDC14B
CDC23
CDC25B
CDC25C
CDC34
CDC37L1
CDC40
CDC42
CDC42BPB
CDC42SE2
CDC45
CDC73
CDCA2
CDCA7L
CDCA8
CDCP1
CDH1
CDH10
CDH11
CDH12
CDH13
CDH18
CDH2
CDH22
CDH23
CDH23-AS1
CDH3
CDH4
CDH6
CDH7
CDH8
CDH9
CDHR1
CDHR5
CDK10
CDK11A
CDK12
CDK13
CDK14
CDK19
CDK5RAP1
CDK5RAP2
CDK5RAP3
CDK7
CDK8
CDKAL1
CDKL1
CDKL2
CDKL3
CDKL4
CDKL5
CDKN1B
CDKN1C
CDKN2A
CDKN2B-AS1
CDNF
CDON
CDR2
CDRT1
CDRT4
CDS2
CDT1
CDX4
CDYL
CDYL2
CEACAM1
CEACAM19
CEACAM21
CEACAM22P
CEBPB
CEBPZ
CEBPZ-AS1
CECR1
CECR2
CECR3
CECR5
CELF1
CELF2
CELF2-AS2
CELF4
CELF5
CELSR1
CEMP1
CENPA
CENPF
CENPH
CENPI
CENPJ
CENPM
CENPN
CENPO
CENPP
CENPQ
CENPT
CENPV
CEP104
CEP112
CEP120
CEP128
CEP135
CEP152
CEP164
CEP164P1
CEP170P1
CEP192
CEP250
CEP290
CEP350
CEP57
CEP57L1
CEP63
CEP68
CEP72
CEP76
CEP78
CEP85L
CEP89
CERK
CERKL
CERS3
CERS6
CES3
CES5A
CETN3
CETP
CFDP1
CFH
CFI
CFL1P1
CFTR
CGGBP1
CGNL1
CH25H
CHAC1
CHAD
CHAF1A
CHAF1B
CHAMP1
CHAT
CHCHD3
CHD1
CHD2
CHD3
CHD4
CHD5
CHD6
CHD7
CHD8
CHD9
CHDC2
CHEK2
CHEK2P3
CHI3L2
CHIAP3
CHKA
CHKB
CHKB-CPT1B
CHL1
CHL1-AS1
CHM
CHMP1A
CHMP4B
CHN2
CHODL
CHODL-AS1
CHORDC1
CHP1
CHRDL1
CHRFAM7A
CHRM2
CHRNA1
CHRNA4
CHRNA6
CHRNA7
CHRNB1
CHRND
CHRNE
CHRNG
CHST12
CHST14
CHST3
CHST6
CHST9
CHSY1
CHSY3
CHURC1-FNTB
CIAPIN1
CIB1
CIB2
CIB3
CIB4
CIC
CICP2
CICP20
CIPC
CIRBP
CIRH1A
CIT
CKAP5
CKMT1B
CLASP1
CLASP2
CLCA4
CLCN1
CLCN2
CLCN4
CLCN5
CLCN7
CLCNKB
CLDN11
CLDN12
CLDN14
CLDN15
CLDN18
CLDN20
CLDND1
CLEC12A
CLEC16A
CLEC19A
CLEC3A
CLEC4C
CLEC4F
CLEC9A
CLGN
CLIC2
CLIC4
CLIC5
CLIC6
CLIP1
CLIP2
CLK3
CLMN
CLMP
CLN3
CLN5
CLN6
CLN8
CLNK
CLNS1A
CLOCK
CLPB
CLPTM1
CLPX
CLRN1
CLRN1-AS1
CLSPN
CLSTN1
CLSTN2
CLSTN3
CLTA
CLTC
CLTCL1
CLUAP1
CLUH
CLUL1
CLVS1
CLYBL
CMAHP
CMAS
CMC2
CMIP
CMPK1
CMSS1
CMTM2
CMTM4
CMTM6
CMTM7
CMTM8
CMTR1
CNBD1
CNDP1
CNDP2
CNGA1
CNGA3
CNGB1
CNGB3
CNKSR2
CNNM1
CNNM3
CNNM4
CNOT10
CNOT4
CNOT8
CNR1
CNRIP1
CNTLN
CNTN1
CNTN3
CNTN4
CNTN4-AS2
CNTN5
CNTN6
CNTNAP2
CNTNAP3
CNTNAP3B
CNTNAP4
CNTNAP5
CNTRL
COA1
COBL
COCH
COG1
COG3
COG4
COG5
COG6
COG7
COL10A1
COL11A1
COL11A2
COL12A1
COL13A1
COL14A1
COL15A1
COL16A1
COL17A1
COL18A1
COL19A1
COL1A1
COL1A2
COL21A1
COL24A1
COL25A1
COL26A1
COL27A1
COL28A1
COL2A1
COL3A1
COL4A1
COL4A2
COL4A3
COL4A3BP
COL4A4
COL4A5
COL4A6
COL5A1
COL5A2
COL5A3
COL6A1
COL6A2
COL6A3
COL7A1
COL8A1
COL8A2
COL9A1
COL9A2
COL9A3
COLEC12
COLGALT1
COLGALT2
COLQ
COMMD1
COMMD7
COMMD8
COMP
COPG2
COPS2
COPS5
COPS8
COQ2
COQ4
COQ9
CORIN
CORO2A
CORO2B
CORO7
CORO7-PAM16
COX10
COX10-AS1
COX19
COX7A2L
COX7B2
CP
CPA3
CPA6
CPAMD8
CPB1
CPB2
CPB2-AS1
CPEB2-AS1
CPEB3
CPLX1
CPM
CPNE2
CPNE4
CPNE7
CPNE8
CPOX
CPPED1
CPQ
CPS1
CPSF3L
CPSF6
CPT1A
CPT2
CPVL
CR2
CRADD
CRAMP1L
CRB1
CRB2
CRBN
CREB3L1
CREB3L2
CREB5
CREBBP
CREBL2
CREBZF
CREM
CRHR1
CRHR2
CRIM1
CRISPLD1
CRLF3
CRLS1
CRMP1
CROCC
CRTAC1
CRTAP
CRX
CRY1
CRY2
CRYAA
CRYAB
CRYBB2
CRYBB2P1
CRYBB3
CRYM
CRYZ
CSAD
CSE1L
CSF1R
CSF2RA
CSGALNACT1
CSGALNACT2
CSMD1
CSMD2
CSMD3
CSN1S2AP
CSNK1A1
CSNK1A1P1
CSNK1E
CSNK1G1
CSNK1G2
CSNK2A1
CSPG4P13
CSPG4P8
CSPG5
CSPP1
CSRP2
CSRP2BP
CSRP3
CST3
CSTB
CSTF2T
CSTF3
CSTP1
CT49
CT60
CTAGE5
CTBP1
CTBP1-AS2
CTBP2
CTC1
CTCF
CTCFL
CTDP1
CTDSPL
CTGLF11P
CTGLF8P
CTH
CTIF
CTLA4
CTNNA1
CTNNA2
CTNNA3
CTNNB1
CTNNBIP1
CTNNBL1
CTNND1
CTNND2
CTNS
CTSA
CTSC
CTSF
CTSK
CTSO
CUBN
CUEDC2
CUL1
CUL4B
CUL5
CUL7
CUX1
CUX2
CWC25
CWC27
CWF19L1
CWF19L2
CWH43
CX3CL1
CXADR
CXCL12
CXCL13
CXCL17
CXCL9
CXXC1P1
CXorf30
CXorf31
CXorf36
CXorf38
CXorf58
CYB5R3
CYB5R4
CYBB
CYFIP2
CYLD
CYP11A1
CYP11B1
CYP11B2
CYP17A1
CYP19A1
CYP1B1
CYP1B1-AS1
CYP21A2
CYP26B1
CYP26C1
CYP27A1
CYP27B1
CYP2A7
CYP2B6
CYP2B7P
CYP2G2P
CYP2U1
CYP3A4
CYP3A43
CYP46A1
CYP4A11
CYP4A22
CYP4A22-AS1
CYP4B1
CYP4F2
CYP4F22
CYP4F23P
CYP4F3
CYP4F44P
CYP4V2
CYP4X1
CYP4Z1
CYP4Z2P
CYP7A1
CYP7B1
CYSLTR1
CYSTM1
CYTH1
CYTH3
CYYR1
DAAM1
DAAM2
DAB1
DAB2
DACH1
DACH2
DACT3
DAG1
DAGLA
DAGLB
DAK
DALRD3
DAP
DAPK1
DAPP1
DARS2
DAZ1
DAZ2
DAZ4
DAZAP1
DAZAP2
DBF4B
DBIL5P
DBNDD1
DBNL
DBT
DBX1
DBX2
DCAF10
DCAF4
DCAF4L2
DCAF5
DCAF7
DCAF8L2
DCBLD1
DCC
DCDC1
DCDC2
DCDC2C
DCHS2
DCK
DCLK1
DCLRE1C
DCN
DCP1B
DCP2
DCTN2
DCTN6
DCUN1D4
DCX
DDA1
DDAH1
DDAH2
DDB2
DDC
DDHD1
DDHD2
DDO
DDX11
DDX11-AS1
DDX19B
DDX24
DDX27
DDX39B
DDX3X
DDX46
DDX58
DEAF1
DEDD2
DEFB107B
DEFB109P1B
DEFB123
DEFB124
DEGS2
DENND1A
DENND2A
DENND4A
DENND4C
DENND5B
DENND5B-AS1
DENND6B
DENR
DEPDC1B
DEPDC4
DEPDC5
DEPDC7
DEPTOR
DERA
DES
DESI1
DFFB
DFNA5
DFNB31
DGAT1
DGAT2
DGCR5
DGCR6
DGCR8
DGKB
DGKH
DGKI
DGKQ
DGUOK
DGUOK-AS1
DHCR24
DHCR7
DHDH
DHFR
DHRS3
DHRSX
DHTKD1
DHX15
DHX30
DHX34
DHX35
DHX36
DHX38
DHX40
DHX57
DHX8
DHX9
DIAPH1
DIAPH2
DIAPH2-AS1
DIAPH3
DICER1
DIDO1
DIMT1
DIO2
DIO2-AS1
DIP2A
DIP2B
DIP2C
DIRAS1
DIRC1
DIRC2
DIRC3
DIS3L
DIS3L2
DISC1FP1
DISP1
DKC1
DKK2
DKK3
DLAT
DLC1
DLD
DLEC1
DLEU1
DLEU2
DLEU7
DLEU7-AS1
DLG2
DLG3
DLG4
DLG5
DLGAP1
DLGAP1-AS3
DLGAP2
DLGAP4
DLGAP5
DLGAP5P1
DLL4
DMC1
DMD
DMGDH
DMP1
DMRT1
DMRT3
DMRTC1
DMRTC1B
DMTN
DMXL1
DMXL2
DNA2
DNAAF1
DNAAF2
DNAH1
DNAH10
DNAH11
DNAH12
DNAH17
DNAH2
DNAH3
DNAH5
DNAH7
DNAH8
DNAH9
DNAI1
DNAI2
DNAJA1
DNAJB13
DNAJB14
DNAJB4
DNAJB6
DNAJB7
DNAJB9
DNAJC1
DNAJC11
DNAJC12
DNAJC15
DNAJC16
DNAJC17
DNAJC5B
DNAJC6
DNAJC9
DNAL1
DNHD1
DNM1
DNM1L
DNM1P46
DNM2
DNM3
DNMBP
DNMT1
DNMT3A
DNMT3B
DOC2A
DOCK1
DOCK2
DOCK3
DOCK4
DOCK5
DOCK6
DOCK7
DOCK8
DOCK9
DOK5
DOK6
DOK7
DOPEY2
DOT1L
DPAGT1
DPCD
DPEP1
DPF3
DPH6
DPH6-AS1
DPH7
DPM1
DPP10
DPP6
DPP9
DPY19L1
DPY19L1P1
DPY19L1P2
DPY19L2
DPY19L3
DPY19L4
DPY30
DPYD
DPYD-AS1
DPYD-IT1
DPYS
DPYSL2
DPYSL5
DRAM2
DRG1
DROSHA
DRP2
DSC2
DSCAM
DSCAML1
DSCR3
DSCR4
DSCR9
DSE
DSG1
DSG2
DSP
DSPP
DST
DSTN
DTD1
DTHD1
DTNA
DTNB
DTNBP1
DTWD2
DTX3L
DTX4
DUOX1
DUOX2
DUOXA1
DUS2
DUSP13
DUSP14
DUSP16
DUSP19
DUSP22
DUT
DVL1
DVL3
DYM
DYNC1H1
DYNC1I1
DYNC1LI1
DYNC1LI2
DYNC2H1
DYNC2LI1
DYNLRB1
DYRK1A
DYRK2
DYRK4
DYSF
DYX1C1
DYX1C1-CCPG1
DZIP3
EARS2
EBAG9
EBF1
EBF2
EBF3
EBF4
EBNA1BP2
EBP
ECD
ECE1
ECEL1
ECHDC1
ECHS1
ECI2
EDA
EDC3
EDEM1
EDEM2
EDN3
EDNRA
EDNRB
EEA1
EED
EEF1A1P31
EEF1A1P7
EEF1A2
EEF1DP3
EEF1E1
EEF1E1-BLOC1S5
EEF2K
EEFSEC
EEPD1
EFCAB13
EFCAB14
EFCAB4B
EFCAB5
EFCAB6
EFCAB7
EFCAB8
EFCC1
EFEMP1
EFHC1
EFHC2
EFNA5
EFNB1
EFNB2
EFR3B
EFTUD2
EGF
EGFEM1P
EGFLAM
EGFLAM-AS4
EGFR
EGLN3
EGLN3-AS1
EGR2
EGR4
EHBP1
EHD2
EHD3
EHF
EHMT1
EIF2AK1
EIF2AK3
EIF2AK4
EIF2B2
EIF2B3
EIF2B5
EIF3E
EIF3F
EIF3L
EIF3M
EIF4B
EIF4E3
EIF4EBP2
EIF4ENIF1
EIF4G3
ELAC1
ELAC2
ELANE
ELAVL2
ELAVL4
ELF1
ELF2
ELF4
ELF5
ELFN1
ELFN2
ELL
ELL2
ELL3
ELMO1
ELMO1-AS1
ELMO2
ELMOD1
ELMSAN1
ELN
ELOVL2-AS1
ELOVL4
ELOVL6
ELP2
ELP4
ELP6
ELSPBP1
ELTD1
EMC1
EMC2
EMC3
EMC3-AS1
EMCN
EMCN-IT3
EMG1
EMID1
EMILIN2
EML1
EML4
EML5
EMP1
EMP2
EMP3
EMR2
EMR3
EMR4P
ENAM
ENDOD1
ENDOV
ENG
ENKUR
ENO3
ENOSF1
ENOX1
ENOX2
ENPEP
ENPP3
ENPP7P1
ENPP7P2
ENPP7P5
ENPP7P6
ENTHD1
ENTPD1
ENTPD1-AS1
ENTPD3
ENTPD3-AS1
ENTPD4
ENTPD5
EP300
EPB41
EPB41L2
EPB41L3
EPB41L4A
EPB41L4B
EPB42
EPC1
EPC2
EPCAM
EPDR1
EPG5
EPHA1
EPHA10
EPHA2
EPHA3
EPHA5
EPHA6
EPHA7
EPHB1
EPHB2
EPM2A
EPN2
EPN3
EPPIN
EPPIN-WFDC6
EPS15
EPS8
EPS8L1
EPSTI1
ERBB2
ERBB2IP
ERBB3
ERBB4
ERC1
ERC2
ERCC1
ERCC2
ERCC3
ERCC4
ERCC5
ERCC6
ERCC6-PGBD3
ERCC8
ERF
ERG
ERGIC2
ERI1
ERICH1
ERICH1-AS1
ERLEC1
ERLIN1
ERLIN2
ERMP1
ERN1
ERP44
ERVK13-1
ESCO1
ESCO2
ESD
ESF1
ESPL1
ESPN
ESR1
ESR2
ESRG
ESRP2
ESRRAP2
ESRRB
ESRRG
ESYT1
ESYT2
ETFA
ETFDH
ETHE1
ETV1
ETV3
ETV6
ETV7
EVA1C
EVC
EVC2
EVI5L
EVL
EVPL
EWSR1
EXD1
EXD2
EXD3
EXOC1
EXOC2
EXOC4
EXOC5
EXOC6
EXOC6B
EXOG
EXOSC10
EXOSC3
EXPH5
EXT1
EXT2
EXTL3
EYA1
EYA2
EYA4
EYS
EZH2
F11
F11-AS1
F13A1
F2
F5
F7
F8
F9
FA2H
FAAH2
FABP6
FADS2
FADS3
FAF1
FAH
FAM101A
FAM101B
FAM102A
FAM107B
FAM109B
FAM110A
FAM110B
FAM111A
FAM114A1
FAM117A
FAM118A
FAM118B
FAM122C
FAM124A
FAM126A
FAM129C
FAM134C
FAM135A
FAM135B
FAM138E
FAM13A
FAM13C
FAM149B1
FAM150A
FAM150B
FAM151B
FAM154A
FAM155A
FAM155B
FAM156A
FAM156B
FAM157C
FAM159B
FAM160A1
FAM160B1
FAM160B2
FAM161A
FAM167A
FAM168A
FAM169A
FAM169B
FAM170A
FAM170B-AS1
FAM171A1
FAM172A
FAM174B
FAM177A1
FAM178B
FAM179A
FAM179B
FAM181A
FAM181A-AS1
FAM182B
FAM183A
FAM184A
FAM184B
FAM185A
FAM185BP
FAM186A
FAM188A
FAM188B
FAM189A1
FAM193A
FAM193B
FAM195B
FAM196A
FAM197Y9
FAM198A
FAM199X
FAM19A1
FAM19A2
FAM19A4
FAM19A5
FAM200B
FAM201A
FAM208B
FAM20A
FAM20C
FAM210A
FAM211A
FAM211A-AS1
FAM214A
FAM21A
FAM21B
FAM21C
FAM221B
FAM222A
FAM222B
FAM227A
FAM227B
FAM228B
FAM229A
FAM230C
FAM35A
FAM35BP
FAM35DP
FAM35EP
FAM3B
FAM3C
FAM46D
FAM49B
FAM53A
FAM53B
FAM57B
FAM60A
FAM65B
FAM66B
FAM69C
FAM71D
FAM73A
FAM81A
FAM81B
FAM83A
FAM83E
FAM83G
FAM85A
FAM86B3P
FAM86C1
FAM86DP
FAM86HP
FAM90A14P
FAM90A17P
FAM90A18P
FAM90A3P
FAM91A1
FAM95B1
FAM9B
FAN1
FANCA
FANCB
FANCC
FANCD2
FANCG
FANCI
FANCL
FANCM
FANK1
FAR1
FAR2
FARP1
FARS2
FAS
FASTKD2
FAT3
FAT4
FAXC
FAXDC2
FBLIM1
FBLN1
FBLN7
FBN1
FBN2
FBN3
FBP1
FBRSL1
FBXL12
FBXL13
FBXL17
FBXL2
FBXL20
FBXL3
FBXL4
FBXL5
FBXL7
FBXO11
FBXO15
FBXO16
FBXO17
FBXO18
FBXO22
FBXO24
FBXO25
FBXO33
FBXO34
FBXO4
FBXO41
FBXO46
FBXO5
FBXO7
FBXO9
FBXW10
FBXW12
FBXW4
FBXW7
FCF1
FCGR1A
FCGR2B
FCGR2C
FCGR3A
FCHO2
FCHSD2
FCRL5
FDCSP
FDFT1
FDX1L
FECH
FEM1B
FER
FER1L5
FERMT1
FERMT2
FERMT3
FGA
FGD1
FGD2
FGD3
FGD4
FGD5
FGD6
FGF10
FGF12
FGF13
FGF14
FGF14-IT1
FGF17
FGF3
FGF7
FGF8
FGF9
FGFR1
FGFR1OP
FGFR1OP2
FGFR2
FGFR3
FGG
FGGY
FGL1
FH
FHAD1
FHIT
FHL1
FHOD3
FIG4
FIGNL1
FILIP1
FILIP1L
FIP1L1
FIS1
FITM2
FKBP10
FKBP14
FKBP4
FKBP5
FKBP8
FKBP9
FKBP9L
FKRP
FKTN
FLAD1
FLCN
FLG
FLG-AS1
FLI1
FLNA
FLNB
FLNC
FLRT1
FLT1
FLT3
FLT4
FLVCR1
FLYWCH1
FMN1
FMNL2
FMNL3
FMO3
FMR1
FN1
FNBP4
FNDC1
FNDC3A
FNDC3B
FNIP1
FNTA
FNTB
FOCAD
FOLH1B
FOLR1
FOLR3
FOLR4
FOSB
FOXC1
FOXE1
FOXF1
FOXG1
FOXJ3
FOXK1
FOXK2
FOXL2
FOXN1
FOXN2
FOXN3
FOXO1
FOXO3
FOXO6
FOXP1
FOXP2
FOXP3
FOXP4
FOXR1
FOXRED1
FPGT-TNNI3K
FPR1
FPR3
FRAS1
FREM1
FREM2
FREM3
FRK
FRMD3
FRMD4A
FRMD4B
FRMD5
FRMD6
FRMD6-AS2
FRMPD1
FRMPD2
FRMPD2P2
FRMPD3
FRMPD4
FRRS1
FRRS1L
FRS2
FRY
FRYL
FSBP
FSD1L
FSHR
FSIP1
FSTL4
FTH1
FTH1P10
FTL
FTO
FTSJ1
FTX
FUCA1
FUS
FUT10
FUT6
FUT8
FXN
FXYD5
FYB
FYCO1
FYN
FZD4
G3BP2
G6PC
G6PD
GAA
GAB1
GAB2
GAB4
GABBR1
GABBR2
GABPA
GABPB1
GABPB1-AS1
GABRA1
GABRA2
GABRA3
GABRA4
GABRA5
GABRB1
GABRB2
GABRB3
GABRG1
GABRG2
GABRG3
GABRR1
GABRR2
GACAT1
GADL1
GAGE10
GAK
GALC
GALE
GALK1
GALK2
GALM
GALNS
GALNT1
GALNT10
GALNT11
GALNT12
GALNT13
GALNT14
GALNT15
GALNT18
GALNT6
GALNT8
GALNTL6
GALT
GAMT
GAN
GANC
GAPDHP20
GAPVD1
GAREM
GARS
GAS7
GAS8
GATA2
GATA3
GATA4
GATA6
GATAD2A
GATAD2B
GATSL2
GBA
GBA2
GBE1
GBP1P1
GBP2
GBP3
GBP4
GBP5
GBP6
GBP7
GC
GCDH
GCFC2
GCGR
GCH1
GCK
GCLC
GCLM
GCM2
GCNT2
GCNT3
GCNT4
GCNT6
GCOM1
GDA
GDAP1
GDF5
GDI2
GDNF
GDPD1
GDPD4
GDPD5
GEMIN4
GEMIN6
GEMIN8
GEN1
GET4
GFAP
GFER
GFM1
GFM2
GFOD1
GFPT1
GFRA1
GFRA2
GFRAL
GGACT
GGN
GGNBP2
GGT1
GGT7
GGTA1P
GHR
GHRHR
GID4
GIN1
GINM1
GINS1
GINS3
GINS4
GIP
GIPC2
GJA1
GJA8
GJB1
GJB2
GJB7
GJC2
GJD3
GK
GK-AS1
GK3P
GKAP1
GLA
GLB1
GLCCI1
GLDC
GLDN
GLE1
GLG1
GLI2
GLI3
GLIPR1L2
GLIS1
GLIS3
GLIS3-AS1
GLMN
GLO1
GLOD5
GLP1R
GLP2R
GLRA1
GLRA2
GLRA3
GLRX3
GLT1D1
GLTSCR1L
GLUD1
GLUD1P2
GLUD1P8
GLYAT
GLYATL1
GLYATL3
GLYR1
GM2A
GMDS
GMDS-AS1
GMEB1
GMIP
GML
GMPPA
GMPPB
GMPR
GMPS
GNA12
GNA15
GNAI1
GNAI3
GNAL
GNAO1
GNAQ
GNAS
GNAS-AS1
GNB1
GNB1L
GNB5
GNE
GNG12
GNG12-AS1
GNG2
GNG7
GNGT1
GNL3
GNMT
GNPATP
GNPNAT1
GNPTAB
GNPTG
GNRHR
GNS
GOLGA1
GOLGA3
GOLGA5
GOLGA6D
GOLGA6L7P
GOLGA8N
GOLGB1
GOLM1
GOLPH3
GOLPH3L
GOPC
GOSR1
GOSR2
GOT1
GP6
GPAA1
GPATCH8
GPBP1
GPC3
GPC5
GPC6
GPC6-AS1
GPC6-AS2
GPCPD1
GPD1
GPD1L
GPD2
GPHN
GPM6A
GPM6B
GPR111
GPR115
GPR116
GPR124
GPR125
GPR128
GPR135
GPR137C
GPR139
GPR141
GPR143
GPR149
GPR158
GPR158-AS1
GPR160
GPR161
GPR176
GPR179
GPR34
GPR39
GPR56
GPR63
GPR65
GPR75-ASB3
GPR98
GPRASP1
GPRC6A
GPRIN3
GPSM2
GPT2
GPX5
GPX6
GPX7
GRAMD1B
GRAMD1C
GRAMD4
GRB10
GRB2
GREB1
GREB1L
GREM1
GRHL1
GRHL2
GRHL3
GRHPR
GRIA1
GRIA3
GRIA4
GRID1
GRID2
GRID2IP
GRIK1
GRIK1-AS2
GRIK2
GRIK3
GRIK4
GRIK5
GRIN1
GRIN2A
GRIN2B
GRIN2D
GRIN3A
GRIP1
GRK1
GRK4
GRK5
GRK6P1
GRM1
GRM3
GRM4
GRM5
GRM6
GRM7
GRM7-AS1
GRM7-AS3
GRM8
GRN
GRSF1
GRWD1
GRXCR1
GSAP
GSDMA
GSG1L
GSK3B
GSTM1
GSTM2
GTDC1
GTF2A1L
GTF2A2
GTF2B
GTF2E1
GTF2F2
GTF2H2
GTF2H2C
GTF2H5
GTF2I
GTF2IP1
GTF2IRD1
GTF2IRD1P1
GTF2IRD2P1
GTF3C1
GTPBP10
GTPBP2
GTPBP3
GTPBP6
GTPBP8
GTSE1
GUCY1A2
GUCY1B2
GUCY2C
GUCY2D
GUSB
GUSBP1
GUSBP11
GUSBP12
GUSBP2
GUSBP3
GUSBP5
GUSBP9
GXYLT1
GXYLT2
GYG1
GYG2
GYPB
GYS1
GYS2
H1FNT
H2AFV
H2AFY2
H2BFM
HAAO
HACE1
HACL1
HADH
HADHA
HADHB
HAGH
HAO1
HAPLN4
HAR1A
HAR1B
HARS
HAUS5
HAUS7
HAX1
HBA2
HBB
HBE1
HBG2
HBP1
HBS1L
HCAR1
HCCS
HCFC1
HCG19P
HCG20
HCG21
HCG22
HCG23
HCG24
HCG27
HCK
HCN1
HCN2
HCN4
HCP5
HDAC1
HDAC2
HDAC8
HDAC9
HDHD1
HDHD1P1
HEATR2
HEATR3
HEATR4
HEATR5A
HEATR5B
HEATR6
HEBP1
HECA
HECTD1
HECTD4
HECW1
HECW2
HEG1
HELB
HELZ
HEMGN
HEPACAM
HEPH
HERC1
HERC2
HERC2P2
HERC2P3
HERC2P4
HERC2P5
HERC2P8
HERC2P9
HERC3
HERC5
HERC6
HERPUD2
HESX1
HEXA
HEXB
HEYL
HFM1
HGD
HGF
HGS
HGSNAT
HHAT
HHIP
HHIPL1
HIAT1
HIATL2
HIBADH
HIBCH
HIC2
HIP1
HIPK2
HIPK3
HIRA
HIST1H2AC
HIST2H2BF
HIST2H4A
HIST2H4B
HIVEP1
HIVEP2
HIVEP3
HK1
HKDC1
HKR1
HLA-B
HLA-DMA
HLA-DMB
HLA-DOA
HLA-DPA1
HLA-DPA3
HLA-DPB2
HLA-DQA1
HLA-DQB1
HLA-DRA
HLA-DRB5
HLA-DRB9
HLCS
HLCS-IT1
HMBOX1
HMBS
HMCN2
HMG20A
HMGA2
HMGB1
HMGCL
HMGCLL1
HMGCR
HMGCS2
HMGN2P46
HMGN3
HMGN5
HMGXB4
HN1L
HNF1A
HNF1A-AS1
HNF1B
HNF4A
HNF4A-AS1
HNF4G
HNRNPA1P54
HNRNPA1P57
HNRNPA3P9
HNRNPC
HNRNPF
HNRNPK
HNRNPKP3
HNRNPLL
HNRNPM
HNRNPR
HNRNPU
HNRNPU-AS1
HNRNPUL1
HNRNPUL2-BSCL2
HOGA1
HOOK2
HOOK3
HOPX
HORMAD1
HOXB-AS3
HOXB3
HOXB4
HOXC6
HOXC9
HOXD13
HOXD3
HP1BP3
HPCA
HPCAL1
HPD
HPR
HPRT1
HPS1
HPS4
HPSE2
HR
HRAS
HRH1
HRH4
HRK
HS1BP3
HS2ST1
HS3ST3A1
HS3ST4
HS3ST5
HS6ST2
HS6ST3
HSD17B1
HSD17B10
HSD17B12
HSD17B13
HSD17B3
HSD17B4
HSD17B7P2
HSF2BP
HSF5
HSFY2
HSH2D
HSP90AA1
HSP90AB3P
HSPA4
HSPA4L
HSPB1
HSPB11
HSPG2
HTN3
HTR1E
HTR2A
HTR2C
HTRA1
HTT
HTT-AS
HUNK
HUS1
HUWE1
HVCN1
HYAL1
HYDIN
IAPP
IARS2
ICAM1
ICAM5
ICK
ICMT
ICOSLG
ID1
ID3
IDE
IDH3A
IDNK
IDO1
IDS
IDUA
IER5L
IFI27
IFI27L1
IFIH1
IFITM5
IFLTD1
IFNG-AS1
IFNGR1
IFNLR1
IFNW1
IFRD1
IFT122
IFT140
IFT172
IFT43
IFT57
IFT74
IFT80
IFT81
IFT88
IGBP1P3
IGDCC3
IGF1R
IGF2
IGF2-AS
IGF2BP1
IGF2BP3
IGFBP4
IGFBP7
IGFBP7-AS1
IGFL2
IGHMBP2
IGHV3OR16-15
IGKV1-13
IGLL1
IGSF1
IGSF11
IGSF21
IGSF3
IGSF5
IKBIP
IKBKAP
IKBKB
IKBKG
IKZF1
IKZF3
IL10RB
IL11RA
IL12RB1
IL12RB2
IL15RA
IL16
IL17RA
IL17RD
IL18BP
IL18R1
IL18RAP
IL19
IL1RAPL1
IL1RAPL2
IL21R
IL23R
IL2RA
IL3RA
IL4I1
IL5RA
IL6ST
IL6STP1
IL7
IL7R
ILDR1
ILDR2
ILF2
IMMP1L
IMMP2L
IMP3
IMPA2
IMPAD1
IMPG1
IMPG2
INADL
INF2
INHBA-AS1
INMT
INMT-FAM188B
INO80
INO80C
INPP4B
INPP5A
INPP5B
INPP5E
INPP5F
INPP5J
INPP5K
INS-IGF2
INSC
INSIG2
INSL6
INSR
INTS1
INTS4L2
INTS6
INTS6-AS1
INTS9
INTU
INVS
IP6K2
IPCEF1
IPO11
IPPK
IQCB1
IQCE
IQCF1
IQCF5-AS1
IQCH
IQCH-AS1
IQCJ-SCHIP1
IQCK
IQGAP1
IQGAP2
IQSEC1
IQSEC2
IQSEC3
IQUB
IRAK1BP1
IRAK2
IRAK3
IRAK4
IRF4
IRF6
IRGQ
ISCA1
ISL1
ISM1
ISPD
ISPD-AS1
IST1
ISX
ISY1
ISY1-RAB43
ITCH
ITCH-IT1
ITFG1
ITFG2
ITFG3
ITGA1
ITGA10
ITGA11
ITGA2
ITGA2B
ITGA7
ITGA8
ITGA9
ITGAE
ITGAM
ITGAX
ITGB1
ITGB2
ITGB3
ITGB3BP
ITGB4
ITGBL1
ITIH5
ITM2B
ITPK1
ITPKA
ITPKC
ITPR1
ITPR2
ITSN1
ITSN2
IVD
IWS1
IYD
IZUMO2
IZUMO4
JADE1
JADE2
JADE3
JAG1
JAGN1
JAK1
JAK2
JAK3
JAKMIP1
JAKMIP2
JAKMIP3
JAM2
JAM3
JARID2
JAZF1
JAZF1-AS1
JDP2
JMJD1C
JMJD4
JPH1
JPH2
JPH3
JPX
JUP
KAL1
KALP
KALRN
KANK1
KANSL1
KANSL1-AS1
KANSL2
KARS
KAT2B
KAT6A
KAT6B
KAT7
KATNAL2
KATNBL1
KATNBL1P3
KAZN
KBTBD11
KBTBD12
KBTBD2
KCMF1
KCNA1
KCNA2
KCNA4
KCNAB1
KCNAB2
KCNB1
KCNB2
KCNC1
KCNC2
KCNC3
KCNC4
KCND1
KCND2
KCND3
KCNE1
KCNE2
KCNE3
KCNG3
KCNH1
KCNH2
KCNH5
KCNH8
KCNIP1
KCNIP4
KCNJ1
KCNJ11
KCNJ16
KCNJ2
KCNJ3
KCNJ4
KCNJ5
KCNJ6
KCNK10
KCNK12
KCNK16
KCNK17
KCNK18
KCNK9
KCNMA1
KCNMB2
KCNN1
KCNN2
KCNN4
KCNQ1
KCNQ1-AS1
KCNQ1OT1
KCNQ2
KCNQ3
KCNQ4
KCNQ5
KCNS3
KCNT1
KCNU1
KCNV2
KCTD1
KCTD14
KCTD16
KCTD19
KCTD21
KCTD7
KCTD8
KCTD9
KDELC2
KDELR1
KDELR2
KDELR3
KDM1A
KDM1B
KDM2A
KDM2B
KDM3A
KDM3B
KDM4A
KDM4A-AS1
KDM4B
KDM4C
KDM5A
KDM5C
KDM5D
KDM6A
KHDC1
KHDRBS1
KHDRBS2
KHDRBS3
KHSRP
KIAA0020
KIAA0125P2
KIAA0141
KIAA0195
KIAA0196
KIAA0226
KIAA0226L
KIAA0247
KIAA0368
KIAA0391
KIAA0556
KIAA0586
KIAA0753
KIAA0825
KIAA0922
KIAA1024
KIAA1109
KIAA1211
KIAA1211L
KIAA1217
KIAA1239
KIAA1244
KIAA1257
KIAA1324L
KIAA1328
KIAA1377
KIAA1407
KIAA1429
KIAA1432
KIAA1456
KIAA1462
KIAA1467
KIAA1468
KIAA1522
KIAA1549
KIAA1586
KIAA1598
KIAA1671
KIAA1715
KIAA1958
KIAA2022
KIAA2026
KIDINS220
KIF11
KIF13A
KIF13B
KIF15
KIF16B
KIF18A
KIF18B
KIF1A
KIF1B
KIF21A
KIF27
KIF2A
KIF3B
KIF3C
KIF4A
KIF5A
KIF5B
KIF5C
KIF6
KIF7
KIF9-AS1
KIFC3
KIN
KIR2DL4
KIR3DL1
KIR3DL2
KIRREL3
KISS1R
KIT
KITLG
KLB
KLC1
KLC4
KLF11
KLF12
KLF13
KLF16
KLF17
KLF3
KLF5
KLF6
KLF8
KLF9
KLHDC10
KLHDC3
KLHL1
KLHL13
KLHL14
KLHL18
KLHL2
KLHL22
KLHL28
KLHL29
KLHL2P1
KLHL32
KLHL40
KLHL5
KLHL6
KLHL8
KLK2
KLLN
KLRC1
KLRC4-KLRK1
KLRD1
KLRF2
KLRK1
KMO
KMT2A
KMT2B
KMT2C
KMT2D
KNTC1
KPNA3
KPNA6
KPTN
KRAS
KRBOX1
KRBOX4
KREMEN1
KRIT1
KRT1
KRT10
KRT14
KRT16
KRT17
KRT20
KRT223P
KRT24
KRT27
KRT28
KRT5
KRT6A
KRT71
KRT79
KRT8P22
KRT8P9
KRT9
KRTAP20-2
KRTAP5-AS1
KSR1
KSR2
KTN1
L1CAM
L2HGDH
L3HYPDH
L3MBTL1
L3MBTL3
L3MBTL4
LAMA1
LAMA2
LAMA3
LAMA4
LAMB1
LAMB2
LAMB3
LAMC2
LAMC3
LAMP2
LAMTOR1
LAMTOR5-AS1
LANCL2
LANCL3
LAP3
LAPTM5
LARGE
LARP1
LARP4
LARP4B
LARP6
LARP7
LARS
LARS2
LASP1
LAT2
LATS2
LBP
LBR
LBX1-AS1
LBX2
LCA5L
LCAT
LCE2B
LCK
LCLAT1
LCMT1
LCORL
LCP1
LDB2
LDB3
LDHB
LDLR
LDLRAD1
LDLRAD2
LDLRAD3
LDLRAD4
LDLRAP1
LECT1
LECT2
LEMD3
LEPR
LEPRE1
LEPREL1
LEPREL1-AS1
LEPROTL1
LETM1
LETM2
LFNG
LGALS3
LGALS9B
LGI1
LGI2
LGR4
LGR5
LGSN
LHCGR
LHFP
LHFPL1
LHFPL2
LHFPL3
LHFPL5
LHPP
LHX2
LIFR
LIFR-AS1
LIG1
LIG4
LILRP2
LIM2
LIMA1
LIMCH1
LIMD1
LIMD2
LIMK1
LIMK2
LIN28B
LIN52
LIN54
LINC-PINT
LINC00032
LINC00113
LINC00159
LINC00160
LINC00189
LINC00200
LINC00265
LINC00266-2P
LINC00266-4P
LINC00271
LINC00276
LINC00278
LINC00284
LINC00298
LINC00299
LINC00305
LINC00309
LINC00313
LINC00320
LINC00332
LINC00334
LINC00348
LINC00351
LINC00355
LINC00371
LINC00382
LINC00384
LINC00392
LINC00393
LINC00397
LINC00410
LINC00411
LINC00426
LINC00443
LINC00457
LINC00461
LINC00469
LINC00470
LINC00472
LINC00477
LINC00478
LINC00486
LINC00491
LINC00499
LINC00501
LINC00504
LINC00511
LINC00518
LINC00521
LINC00529
LINC00534
LINC00535
LINC00536
LINC00558
LINC00559
LINC00571
LINC00578
LINC00589
LINC00598
LINC00607
LINC00609
LINC00615
LINC00620
LINC00623
LINC00630
LINC00635
LINC00636
LINC00639
LINC00645
LINC00648
LINC00662
LINC00669
LINC00670
LINC00672
LINC00674
LINC00691
LINC00693
LINC00698
LINC00704
LINC00839
LINC00842
LINC00854
LINC00856
LINC00864
LINC00871
LINC00877
LINC00879
LINC00880
LINC00882
LINC00894
LINC00898
LINC00903
LINC00907
LINC00908
LINC00922
LINC00923
LINC00925
LINC00927
LINC00928
LINC00937
LINC00942
LINC00944
LINC00954
LINC00957
LINC00958
LINC00959
LINC00964
LINC00968
LINC00989
LINC00993
LINC01004
LINC01019
LINC01028
LINC01029
LINC01031
LINC01033
LINC01036
LINC01040
LINC01047
LINC01060
LINC01073
LINC01076
LINC01088
LINC01091
LINC01104
LINC01105
LINC01111
LINC01115
LINC01121
LINC01122
LINC01125
LINC01128
LINC01134
LINC01146
LINC01150
LINC01158
LINC01160
LINC01162
LINC01170
LINC01171
LINGO1
LINGO2
LINS
LIPA
LIPC
LIPE
LIPE-AS1
LIPG
LIPI
LITAF
LLGL2
LLPH
LMAN1
LMAN2
LMAN2L
LMBRD1
LMBRD2
LMCD1
LMCD1-AS1
LMF1
LMLN
LMNA
LMNB1
LMO2
LMO7
LMOD3
LMX1B
LNP1
LNX1
LNX1-AS1
LNX2
LOH12CR1
LONP1
LONP2
LONRF2
LOX
LOXHD1
LOXL1-AS1
LOXL2
LOXL3
LPAR1
LPAR3
LPCAT1
LPCAT2
LPCAT3
LPHN2
LPHN3
LPIN1
LPIN2
LPIN3
LPL
LRAT
LRBA
LRCH1
LRCH2
LRFN2
LRFN5
LRGUK
LRIG1
LRIT3
LRP1
LRP1B
LRP2
LRP4
LRP5
LRP5L
LRP6
LRP8
LRPPRC
LRRC1
LRRC16A
LRRC17
LRRC20
LRRC23
LRRC29
LRRC36
LRRC37A12P
LRRC37A17P
LRRC37A2
LRRC37A3
LRRC37A4P
LRRC37A6P
LRRC38
LRRC39
LRRC3B
LRRC4
LRRC41
LRRC49
LRRC4B
LRRC4C
LRRC53
LRRC6
LRRC66
LRRC69
LRRC7
LRRC71
LRRC8A
LRRC8B
LRRC8C
LRRFIP2
LRRIQ3
LRRK1
LRRK2
LRRN1
LRRN3
LRRN4
LRRTM3
LRRTM4
LRSAM1
LRTOMT
LSAMP
LSMEM1
LSP1
LSS
LTBP1
LTBP2
LTBP3
LTBP4
LTBR
LTK
LTN1
LUC7L
LUC7L2
LUC7L3
LURAP1L
LUZP1
LUZP2
LXN
LY6G5C
LY6G6F
LY75
LY75-CD302
LY86
LY86-AS1
LYN
LYPD6B
LYRM4
LYSMD3
LYST
LYVE1
LYZL1
LZTFL1
LZTR1
LZTS1
M1AP
MAATS1
MAB21L3
MACC1
MACC1-AS1
MACF1
MACROD1
MACROD2
MACROD2-AS1
MAD1L1
MAF
MAF1
MAFA
MAFF
MAG
MAGEB16
MAGEC3
MAGED1
MAGED4
MAGEL2
MAGI1
MAGI1-IT1
MAGI2
MAGI3
MAGOH
MAGT1
MAK
MAK16
MALL
MALRD1
MALT1
MAMDC2
MAML2
MAML3
MAN1A1
MAN1B1
MAN1C1
MAN2B1
MAN2B2
MANBA
MANEAL
MAOA
MAOB
MAP1A
MAP1LC3A
MAP2K1
MAP2K2
MAP2K4
MAP2K5
MAP2K6
MAP3K1
MAP3K10
MAP3K14
MAP3K15
MAP3K19
MAP3K3
MAP3K4
MAP3K7
MAP3K8
MAP3K9
MAP4
MAP4K4
MAP4K5
MAP6
MAP7D2
MAPK1
MAPK10
MAPK12
MAPK13
MAPK14
MAPK1IP1L
MAPK4
MAPK6
MAPK8
MAPK8IP3
MAPKAP1
MAPKAPK3
MAPKAPK5
MAPKBP1
MAPRE2
MAPT
MARCH1
MARCH11
MARCH3
MARCH5
MARCH6
MARCH8
MARK4
MARS
MARVELD2
MARVELD3
MASP2
MAST2
MAST4
MASTL
MAT1A
MATK
MATN1
MATN1-AS1
MATN2
MATN3
MATR3
MAU2
MAVS
MAX
MB21D1
MBD2
MBD5
MBL1P
MBL2
MBLAC2
MBNL2
MBOAT1
MBOAT2
MBP
MBTPS2
MC2R
MC4R
MCAT
MCC
MCCC1
MCCC2
MCCD1
MCF2
MCF2L
MCFD2
MCHR2
MCHR2-AS1
MCM10
MCM3AP
MCM3AP-AS1
MCM4
MCM5
MCM8
MCM9
MCMDC2
MCOLN1
MCOLN2
MCPH1
MCTP1
MCTP2
MCU
MCUR1
MDC1
MDGA1
MDGA2
MDH2
MDM1
MDS2
ME1
ME2
ME3
MECP2
MECR
MED1
MED12
MED13L
MED14
MED15
MED17
MED19
MED23
MED24
MED28
MED31
MED4
MED9
MEDAG
MEF2A
MEF2AP1
MEF2C
MEF2C-AS1
MEFV
MEGF10
MEGF11
MEGF6
MEGF9
MEI1
MEI4
MEIOB
MEIS1
MEIS2
MELK
MEMO1
MEN1
MEOX2
MEP1AP1
MEP1AP4
MERTK
MET
METTL15
METTL16
METTL20
METTL23
METTL24
METTL25
METTL3
METTL4
METTL9
MEX3C
MFAP1
MFAP3
MFHAS1
MFN2
MFRP
MFSD1
MFSD11
MFSD12
MFSD8
MGA
MGAT4A
MGAT4C
MGAT5
MGAT5B
MGLL
MGME1
MGMT
MGRN1
MGST2
MIA
MIA-RAB4B
MIAT
MIB1
MIB2
MICAL2
MICAL3
MICALCL
MICALL1
MICALL2
MICB
MICU1
MICU2
MID1
MID1IP1
MID2
MIDN
MIER1
MIER2
MIER3
MIOS
MIP
MIPEP
MIPEPP3
MIPOL1
MIR10A
MIR2117
MIR29A
MIR302B
MIR31HG
MIR4435-1HG
MIR4500HG
MIR4519
MIR670HG
MIS18BP1
MITF
MKKS
MKL1
MKL2
MKLN1
MKLN1-AS
MKNK1
MKRN3
MKS1
MLC1
MLH1
MLH3
MLIP
MLKL
MLLT1
MLLT10
MLLT3
MLXIP
MLXIPL
MMAA
MMAB
MMACHC
MME
MMEL1
MMP11
MMP16
MMP2
MMP20
MMP26
MMRN1
MN1
MNX1
MOB1B
MOB2
MOB3A
MOB3B
MOCS1
MOCS2
MOGAT3
MON2
MORC2
MORC2-AS1
MORF4L1
MOV10L1
MPDZ
MPHOSPH8
MPHOSPH9
MPI
MPL
MPO
MPP5
MPP6
MPP7
MPPED1
MPRIP
MPST
MPV17
MPV17L
MPZ
MRC1
MRGPRF
MRI1
MRO
MROH1
MROH2B
MROH5
MROH8
MRPL11
MRPL13
MRPL14
MRPL2
MRPL23
MRPL32
MRPL33
MRPL34
MRPL37
MRPL45P2
MRPL48
MRPS18A
MRPS22
MRPS24
MRPS27
MRPS28
MRPS31
MRPS31P2
MRPS33
MRPS35
MRPS5
MRPS6
MRVI1
MRVI1-AS1
MS4A2
MSANTD3-TMEFF1
MSH2
MSH3
MSH6
MSI2
MSL1
MSL2
MSLNL
MSN
MSR1
MSRA
MSRB2
MSRB3
MSS51
MSTO1
MSTO2P
MTA3
MTAP
MTBP
MTCH1
MTCH2
MTERF
MTF1
MTF2
MTFMT
MTFR1
MTFR1L
MTHFD1
MTHFD1L
MTHFD2L
MTHFD2P1
MTHFR
MTHFSD
MTL5
MTM1
MTMR1
MTMR10
MTMR12
MTMR14
MTMR2
MTMR3
MTMR7
MTMR8
MTMR9
MTND1P34
MTO1
MTOR
MTPAP
MTR
MTRF1
MTRR
MTTP
MTURN
MTUS1
MTUS2
MTUS2-AS1
MTUS2-AS2
MTX3
MUC12
MUC16
MUC17
MUC19
MUC22
MUC3A
MUC5AC
MUC5B
MUCL1
MUSK
MUT
MUTYH
MVB12B
MVK
MX1
MX2
MYBL1
MYBL2
MYBPC1
MYBPC2
MYBPC3
MYCBP2
MYCBPAP
MYCN
MYEOV
MYH1
MYH10
MYH11
MYH13
MYH14
MYH15
MYH2
MYH3
MYH6
MYH7
MYH9
MYL2
MYL3
MYLK
MYLK3
MYLK4
MYO10
MYO15A
MYO15B
MYO16
MYO18A
MYO18B
MYO1D
MYO1E
MYO3A
MYO3B
MYO5A
MYO5B
MYO5C
MYO6
MYO7A
MYO9A
MYO9B
MYOC
MYOCD
MYOM1
MYOM2
MYOT
MYPN
MYRF
MYRFL
MYRIP
MYT1L
MYZAP
N4BP1
N4BP2
N4BP2L1
N4BP2L2
N6AMT2
NAA10
NAA15
NAA16
NAA25
NAA35
NAAA
NAALAD2
NAB2
NACA
NADK2
NADSYN1
NAE1
NAGA
NAGLU
NAGS
NALCN
NALCN-AS1
NANOGNB
NANP
NANS
NAP1L1P2
NAP1L4
NAPA
NAPA-AS1
NAPB
NAPG
NARS2
NASP
NAT1
NAV2
NAV3
NBAS
NBEA
NBEAL2
NBN
NBPF13P
NBPF15
NBPF3
NBPF5P
NBPF6
NBR1
NBR2
NCALD
NCAM1
NCAM2
NCAN
NCAPD2
NCBP1
NCF1
NCF1B
NCF2
NCK1
NCKAP1
NCKAP5
NCKIPSD
NCLN
NCOA1
NCOA2
NCOA3
NCOA6
NCOA7
NCOA7-AS1
NCOR1
NCR3LG1
NDC80
NDE1
NDNF
NDP
NDP-AS1
NDRG1
NDRG2
NDRG3
NDST1
NDST3
NDUFA12
NDUFA6
NDUFA6-AS1
NDUFAF2
NDUFAF3
NDUFAF5
NDUFAF6
NDUFB6
NDUFC2-KCTD14
NDUFS1
NDUFS3
NDUFS4
NDUFS6
NDUFS8
NDUFV1
NEB
NEBL
NECAB1
NEDD1
NEDD4
NEDD4L
NEDD9
NEFL
NEGR1
NEK1
NEK10
NEK11
NEK3
NEK8
NEK9
NELFA
NELL1
NELL2
NEMF
NEO1
NETO1
NETO2
NEU1
NEU3
NEUROD1
NEXN
NF1
NF1P1
NF1P2
NF1P8
NF2
NFAM1
NFAT5
NFATC1
NFATC2
NFATC3
NFIA
NFIB
NFIC
NFIX
NFKB1
NFKBIA
NFKBIL1
NFKBIZ
NFRKB
NFU1
NFX1
NFXL1
NFYA
NFYC
NGLY1
NHEJ1
NHLRC1
NHP2L1
NHS
NHSL2
NID2
NIM1K
NIN
NINJ2
NINL
NIPAL1
NIPAL3
NIPAL4
NIPBL
NIPSNAP3B
NISCH
NKAIN1
NKAIN2
NKAIN3
NKD1
NKIRAS1
NKTR
NKX1-1
NKX1-2
NKX2-1
NKX2-5
NKX2-8
NLGN1
NLGN2
NLGN4X
NLGN4Y
NLK
NLN
NLRC4
NLRC5
NLRP10
NLRP13
NLRP14
NLRP2
NLRP3
NLRP4
NLRP5
NLRP8
NLRP9
NME6
NMNAT1
NMNAT3
NMT2
NMU
NNT
NNT-AS1
NOD2
NOG
NOL10
NOL12
NOL4
NOL9
NOMO1
NOMO2
NOMO3
NOS1
NOS1AP
NOS2
NOS3
NOTCH1
NOTCH2
NOTCH2NL
NOTCH3
NOTCH4
NOVA1
NOVA1-AS1
NOX1
NOX4
NOX5
NPAS1
NPAS2
NPAS3
NPC1
NPC1L1
NPC2
NPEPL1
NPEPPS
NPFFR1
NPFFR2
NPHP1
NPHP3
NPHP4
NPHS1
NPHS2
NPIPB3
NPIPB4
NPIPB8
NPL
NPM2
NPNT
NPR2
NPR3
NPSR1
NPSR1-AS1
NPTN
NPTX2
NPTXR
NR0B1
NR1H4
NR2E3
NR2F1
NR2F1-AS1
NR2F2
NR2F6
NR3C2
NR4A1
NR5A1
NR5A2
NR6A1
NRAS
NRCAM
NRD1
NRDE2
NREP
NREP-AS1
NRF1
NRG1
NRG1-IT1
NRG1-IT2
NRG2
NRG3
NRIP1
NRK
NRP1
NRSN1
NRSN2
NRXN1
NRXN2
NRXN3
NSD1
NSF
NSFP1
NSMAF
NSMCE1
NSMCE2
NSRP1
NSUN2
NSUN6
NSUN7
NT5C3A
NT5DC1
NT5DC3
NTAN1
NTF3
NTM
NTN1
NTN4
NTNG1
NTNG2
NTRK1
NTRK2
NTRK3
NTRK3-AS1
NUBPL
NUCB1
NUCB1-AS1
NUCB2
NUDC
NUDCD3
NUDT13
NUDT15
NUDT21
NUDT7
NUFIP1
NUMA1
NUMB
NUMBL
NUP153
NUP160
NUP188
NUP205
NUP210
NUP210L
NUP37
NUP88
NUP93
NUP98
NUPL1
NUS1P1
NUTM1
NUTM2A
NUTM2A-AS1
NUTM2E
NUTM2HP
NWD1
NXF2
NXF2B
NXN
NXPE4
NXPH1
NXPH2
NXPH3
NYX
OARD1
OAT
OBSCN
OCA2
OCIAD1
OCIAD2
OCLN
OCRL
OCSTAMP
ODF3L2
OFCC1
OFD1
OFD1P12Y
OFD1P15Y
OFD1P3Y
OFD1P5Y
OFD1P8Y
OFD1P9Y
OGDH
OGDHL
OGFOD1
OIP5-AS1
OLFM2
OLFM3
OMA1
ONECUT1
OPA1
OPA3
OPCML
OPHN1
OPN1LW
OPN3
OPN4
OPN5
OPRD1
OPRM1
OPTN
OR11A1
OR11H12
OR11K2P
OR13A1
OR2A1-AS1
OR2A9P
OR2H2
OR2N1P
OR2U2P
OR4C4P
OR4N2
OR4R1P
OR4X2
OR51E2
OR56A1
OR5AZ1P
OR5BS1P
OR5BT1P
OR7E36P
OR7E47P
OR7H1P
OR8S1
OR9K1P
OR9K2
OR9Q1
ORC1
ORC4
ORC6
OSBP2
OSBPL10
OSBPL10-AS1
OSBPL11
OSBPL1A
OSBPL5
OSBPL8
OSBPL9
OSMR
OSR1
OSTF1
OSTM1
OTC
OTOA
OTOF
OTOG
OTOGL
OTP
OTUB2
OTUD3
OTUD5
OTUD6B
OTUD7A
OTX2
OTX2-AS1
OVCH1
OVCH1-AS1
OVCH2
OVGP1
OVOL1
OVOL2
OXCT1
OXLD1
OXNAD1
OXR1
OXSR1
P2RX1
P2RX3
P2RY6
P2RY8
P4HA1
P4HA3
P4HTM
PAAF1
PABPC1
PABPC1L
PABPC4
PACS1
PACS2
PACSIN1
PACSIN2
PADI1
PADI2
PADI3
PADI4
PADI6
PAFAH1B1
PAGE1
PAH
PAIP1
PAK1
PAK3
PAK6
PAK7
PALB2
PALD1
PALLD
PALM
PALM2
PALM2-AKAP2
PALMD
PAM
PAMR1
PAN3
PANK1
PANK2
PAOX
PAPLN
PAPPA
PAPPA2
PAPSS2
PAQR5
PARD3
PARG
PARGP1
PARK2
PARM1
PARN
PARP11
PARP16
PARP4
PARP8
PARPBP
PARS2
PART1
PARVA
PARVB
PARVG
PASD1
PATL1
PATL2
PAWR
PAX2
PAX3
PAX4
PAX5
PAX6
PAX7
PBK
PBRM1
PBX1
PBX3
PC
PCA3
PCAT1
PCAT4
PCBD1
PCBD2
PCBP1-AS1
PCBP3
PCCA
PCCB
PCDH10
PCDH11X
PCDH11Y
PCDH15
PCDH19
PCDH7
PCDH9
PCDH9-AS2
PCDHA1
PCDHA10
PCDHA11
PCDHA12
PCDHA13
PCDHA2
PCDHA3
PCDHA4
PCDHA5
PCDHA6
PCDHA7
PCDHA8
PCDHA9
PCDHB2
PCDHB3
PCDHGA1
PCDHGA2
PCDHGA3
PCED1B
PCED1B-AS1
PCGF3
PCLO
PCM1
PCNT
PCNX
PCNXL2
PCP4
PCSK1
PCSK2
PCSK5
PCSK6
PCSK9
PCYT1A
PCYT1B
PDAP1
PDCD10
PDCD11
PDCD1LG2
PDCD6
PDCD6IP
PDCL2
PDCL3
PDE10A
PDE11A
PDE1A
PDE1C
PDE2A
PDE3A
PDE3B
PDE4A
PDE4B
PDE4D
PDE4DIP
PDE5A
PDE6A
PDE6B
PDE6C
PDE6H
PDE7A
PDE7B
PDE8B
PDE9A
PDGFRB
PDGFRL
PDHA1
PDHX
PDIA3
PDIA6
PDK3
PDLIM5
PDPK1
PDPN
PDS5A
PDS5B
PDSS1
PDSS2
PDX1
PDX1-AS1
PDXDC1
PDXDC2P
PDXK
PDZD2
PDZD8
PDZD9
PDZK1
PDZK1P2
PDZRN3
PDZRN4
PEAK1
PEG3
PELO
PEMT
PEPD
PER3
PES1
PET112
PET117
PEX1
PEX10
PEX11G
PEX12
PEX14
PEX2
PEX26
PEX5
PEX5L
PEX5L-AS1
PEX5L-AS2
PEX6
PEX7
PFKFB3
PFKFB4
PFKM
PFKP
PFN2
PGAM1P5
PGAM2
PGAP1
PGAP2
PGAP3
PGBD1
PGBD3
PGD
PGK1
PGLYRP2
PGM2
PGM2L1
PGM3
PGM5
PGM5P1
PGR
PGRMC1
PHACTR1
PHACTR2
PHACTR3
PHACTR4
PHBP7
PHC2
PHC3
PHEX
PHF11
PHF12
PHF14
PHF20
PHF20L1
PHF21A
PHF21B
PHF2P2
PHF3
PHF6
PHF8
PHGDH
PHIP
PHKA1
PHKA2
PHKB
PHLDB2
PHLPP1
PHLPP2
PHRF1
PHTF1
PHTF2
PHYH
PI3
PI4K2A
PI4KA
PI4KAP2
PI4KB
PIAS1
PIAS2
PIAS3
PIBF1
PIEZO1
PIEZO1P2
PIEZO2
PIGG
PIGH
PIGK
PIGL
PIGN
PIGO
PIGQ
PIGT
PIGU
PIGV
PIK3AP1
PIK3C2A
PIK3C2G
PIK3CA
PIK3CB
PIK3CD
PIK3R1
PIK3R2
PIK3R4
PIK3R5
PIK3R6
PIM2
PIN4
PINK1
PINLYP
PINX1
PIP4K2B
PIP5K1A
PIP5K1B
PIP5K1C
PIR
PISD
PITPNA
PITPNB
PITPNC1
PITPNM2
PITPNM3
PITRM1
PITRM1-AS1
PIWIL2
PIWIL3
PIWIL4
PKD1
PKD1L1
PKD1L3
PKD2
PKDCC
PKDREJ
PKHD1
PKHD1L1
PKIA
PKIB
PKIG
PKLR
PKN2
PKNOX2
PKP2
PLA2G12A
PLA2G16
PLA2G4C
PLA2G4D
PLA2G4E
PLA2G5
PLA2G6
PLAC1
PLAG1
PLAGL1
PLAT
PLAU
PLAUR
PLB1
PLCB1
PLCB4
PLCE1
PLCG1
PLCH1
PLCL2
PLCXD1
PLCXD3
PLEC
PLEK
PLEK2
PLEKHA1
PLEKHA2
PLEKHA5
PLEKHA7
PLEKHA8
PLEKHB2
PLEKHD1
PLEKHG5
PLEKHH1
PLEKHH2
PLEKHM1
PLEKHO2
PLET1
PLG
PLGRKT
PLIN3
PLK1
PLK1S1
PLK4
PLN
PLOD1
PLP1
PLS3
PLSCR4
PLTP
PLVAP
PLXDC2
PLXNA4
PLXNB2
PLXNC1
PM20D2
PMCHL1
PMEL
PMEPA1
PMFBP1
PML
PMM2
PMP22
PMS2
PMS2P2
PMS2P4
PMS2P5
PNKP
PNLIPRP1
PNLIPRP2
PNLIPRP3
PNMA6A
PNP
PNPLA1
PNPLA2
PNPLA4
PNPLA6
PNPLA8
PNPO
PNPT1
POC1A
POC1B
POC5
POGZ
POLA1
POLD2
POLD3
POLDIP3
POLE4
POLG
POLH
POLK
POLM
POLN
POLQ
POLR1A
POLR1C
POLR1D
POLR2F
POLR2J3
POLR2J4
POLR2M
POLR3A
POLR3B
POLR3G
POLR3H
POLRMT
POM121
POM121L2
POMGNT1
POMK
POMP
POMT1
POMT2
POR
PORCN
POSTN
POT1-AS1
POTEA
POTEB
POTEE
POTEG
POTEH
POTEH-AS1
POU1F1
POU2F2
POU3F1
POU3F4
POU4F3
POU6F2
POU6F2-AS2
PP2D1
PPA2
PPAP2B
PPAP2C
PPAPDC1A
PPAPDC1B
PPARG
PPARGC1A
PPARGC1B
PPAT
PPCDC
PPCS
PPEF1
PPEF2
PPFIA1
PPFIA2
PPFIBP1
PPFIBP2
PPHLN1
PPIA
PPIL2
PPIL4
PPIP5K2
PPM1D
PPM1E
PPM1F
PPM1H
PPM1L
PPME1
PPOX
PPP1CB
PPP1R11
PPP1R12A
PPP1R12B
PPP1R12BP1
PPP1R13B
PPP1R14C
PPP1R16A
PPP1R16B
PPP1R1B
PPP1R21
PPP1R26P1
PPP1R26P5
PPP1R2P4
PPP1R3A
PPP1R42
PPP1R9A
PPP2CA
PPP2CB
PPP2R1A
PPP2R2A
PPP2R2C
PPP2R3A
PPP2R3B
PPP2R4
PPP2R5B
PPP2R5D
PPP2R5E
PPP3CA
PPP3R1
PPP4R1L
PPP4R2
PPP5D1
PPP6R2
PPP6R3
PPT1
PPWD1
PQBP1
PRADC1
PRAMEF17
PRAMEF5
PRAMEF6
PRAMEF9
PRB2
PRDM10
PRDM11
PRDM12
PRDM14
PRDM15
PRDM16
PRDM2
PRDM4
PRDM5
PRDM7
PRDX4
PRELID2
PREP
PREPL
PREX1
PREX2
PRF1
PRH2
PRICKLE1
PRICKLE2
PRICKLE3
PRIM1
PRIM2
PRIMA1
PRKAA1
PRKAA2
PRKACB
PRKAG2
PRKAR1A
PRKAR1B
PRKAR2A
PRKAR2A-AS1
PRKCA
PRKCB
PRKCD
PRKCE
PRKCG
PRKCH
PRKCQ
PRKCQ-AS1
PRKCZ
PRKD1
PRKDC
PRKG1
PRKG1-AS1
PRKG2
PRKRIP1
PRKX
PRKY
PRL
PRLR
PRMT10
PRMT5
PRMT5-AS1
PRMT8
PRNP
PROC
PRODH
PROK2
PROKR2
PROM1
PROP1
PRORSD1P
PROS1
PRPF31
PRPF38A
PRPF8
PRPH2
PRPS1
PRPSAP1
PRR11
PRR12
PRR25
PRR4
PRR5
PRR5-ARHGAP8
PRR5L
PRRG4
PRRT2
PRSS1
PRSS12
PRSS21
PRSS22
PRSS23
PRSS50
PRSS51
PRSS55
PRSS57
PRTFDC1
PRTG
PRUNE2
PRX
PSAT1
PSD3
PSEN1
PSG11
PSG2
PSG6
PSG8
PSIP1
PSKH2
PSMA2
PSMA3
PSMA5
PSMB2
PSMC2
PSMD13
PSMD3
PSMD4
PSMD8
PSMG1
PSMG2
PSMG3-AS1
PSMG4
PSPH
PSTK
PSTPIP1
PSTPIP2
PTAFR
PTAR1
PTBP2
PTBP3
PTCD1
PTCD2
PTCH1
PTCHD1
PTCHD2
PTCHD4
PTCSC3
PTDSS1
PTDSS2
PTEN
PTGER3
PTGER4
PTGES3L-AARSD1
PTGFR
PTGR2
PTHLH
PTK2B
PTK7
PTOV1-AS1
PTP4A2
PTPLA
PTPLB
PTPN1
PTPN11
PTPN12
PTPN13
PTPN2
PTPN20B
PTPN21
PTPN23
PTPN3
PTPN9
PTPRA
PTPRB
PTPRD
PTPRE
PTPRF
PTPRG
PTPRG-AS1
PTPRH
PTPRJ
PTPRK
PTPRM
PTPRN2
PTPRO
PTPRQ
PTPRR
PTPRS
PTPRT
PTPRU
PTPRZ1
PTRF
PTRH2
PTS
PTX3
PUF60
PUM1
PURA
PURB
PURG
PUS1
PUS7L
PVRL1
PVRL2
PVRL3
PVRL3-AS1
PVT1
PWP1
PWRN1
PXDN
PXDNL
PXMP4
PYCR1
PYCR2
PYDC1
PYGL
PYGM
PYGO1
PYROXD1
PYROXD2
PYY
QDPR
QPRT
QRFPR
QRICH1
QRICH2
QSER1
QTRTD1
R3HDM1
R3HDM2
R3HDML
RAB10
RAB11A
RAB11FIP3
RAB11FIP4
RAB11FIP5
RAB15
RAB1A
RAB21
RAB22A
RAB27A
RAB27B
RAB28
RAB2A
RAB2B
RAB30
RAB31
RAB37
RAB39A
RAB3B
RAB3C
RAB3GAP1
RAB3GAP2
RAB40B
RAB40C
RAB43
RAB44
RAB4B
RAB4B-EGLN2
RAB5B
RAB6A
RAB6B
RAB7A
RAB8A
RAB8B
RAB9A
RABEP1
RABGEF1
RABL3
RABL5
RAC1
RAC1P1
RAC1P5
RACGAP1
RAD17
RAD18
RAD21
RAD21L1
RAD23B
RAD50
RAD51
RAD51AP2
RAD51B
RAD51C
RAD51D
RAD54B
RAD54L
RAD54L2
RADIL
RAF1
RAG1
RAG2
RAI1
RAI14
RALA
RALB
RALBP1
RALGAPA1
RALGAPA2
RALGAPB
RALGDS
RALGPS1
RALY
RALYL
RANBP10
RANBP17
RANBP3
RANBP3L
RANBP6
RANBP9
RAP1A
RAP1GAP
RAP1GAP2
RAP1GDS1
RAPGEF2
RAPGEF4
RAPGEF5
RAPSN
RARA
RARB
RARRES2P7
RARS2
RASA1
RASA2
RASA3
RASA4B
RASA4CP
RASAL1
RASAL2
RASAL3
RASGEF1B
RASGEF1C
RASGRF1
RASGRF2
RASGRP1
RASGRP3
RASSF2
RASSF4
RASSF6
RASSF8
RAVER1
RAVER2
RAX
RB1
RB1CC1
RBBP4
RBCK1
RBFOX1
RBFOX2
RBFOX3
RBKS
RBL1
RBM10
RBM11
RBM17
RBM19
RBM20
RBM25
RBM26
RBM27
RBM33
RBM47
RBM6
RBMS1
RBMS2
RBMS3
RBMS3-AS2
RBMY1A1
RBMY1J
RBMY2HP
RBMY2KP
RBMY2QP
RBP3
RBPJ
RBPMS
RBPMSLP
RCAN2
RCBTB2
RCC2
RCHY1
RCL1
RCN1
RCOR1
RCOR3
RDH11
RDH12
RDX
RECK
RECQL
RECQL4
RECQL5
REEP1
REEP3
REG4
REL
RELL1
RELN
REM1
REPS2
RERE
REREP1Y
RERG
RERGL
RET
REV3L
REXO1
RFC1
RFC2
RFC3
RFFL
RFPL2
RFPL4AL1
RFTN1
RFTN1P1
RFX2
RFX3
RFX4
RFX6
RFX7
RFX8
RGL1
RGMA
RGPD2
RGPD5
RGS12
RGS17
RGS22
RGS3
RGS5
RGS6
RGS7BP
RHAG
RHBDD2
RHBDD3
RHBDF2
RHBDL2
RHBDL3
RHCG
RHD
RHEB
RHNO1
RHO
RHOA
RHPN2
RIC3
RIC8B
RICTOR
RIF1
RIMBP2
RIMBP3B
RIMBP3C
RIMKLB
RIMS1
RIMS2
RIMS4
RIN1
RIPK1
RIPK2
RIPPLY3
RIT1
RIT2
RLBP1
RLF
RLIM
RMDN2
RMDN2-AS1
RMI2
RMND1
RMRP
RMST
RN7SL660P
RNASEH2B
RNASEL
RND3
RNF10
RNF11
RNF121
RNF122
RNF125
RNF126
RNF130
RNF138
RNF141
RNF144A
RNF145
RNF149
RNF152
RNF157
RNF157-AS1
RNF165
RNF169
RNF17
RNF170
RNF180
RNF19B
RNF213
RNF214
RNF216
RNF216P1
RNF217
RNF219-AS1
RNF220
RNF38
RNF4
RNF43
RNF6
RNFT1
RNFT2
RNGTT
RNLS
RNMT
RNMTL1
RNU4ATAC
ROBO1
ROBO2
ROBO3
ROCK1
ROCK2
ROPN1L
ROR1
ROR2
RORA
RORB
RP1
RP1L1
RP2
RP9
RP9P
RPA1
RPA2
RPA3
RPA3-AS1
RPAP1
RPE65
RPF2
RPGR
RPGRIP1
RPGRIP1L
RPH3AL
RPIA
RPL12P2
RPL13AP
RPL15P4
RPL23
RPL23AP82
RPL28
RPL34-AS1
RPL36A-HNRNPH2
RPL36AP29
RPL5
RPL7P41
RPL7P48
RPN2
RPP38
RPRD1B
RPS11P6
RPS14
RPS19
RPS26
RPS4Y1
RPS6
RPS6KA1
RPS6KA2
RPS6KA3
RPS6KA5
RPS6KB1
RPSAP52
RPTOR
RRAGB
RRAGD
RRAS2
RRBP1
RREB1
RRM1
RRM2B
RRN3
RRN3P1
RRN3P2
RRP1B
RRP36
RRP7B
RS1
RSAD2
RSBN1L
RSBN1L-AS1
RSF1
RSPH1
RSPH4A
RSPH6A
RSPH9
RSPO2
RSPO3
RSPO4
RSPRY1
RSU1
RTCA
RTDR1
RTEL1
RTEL1-TNFRSF6B
RTF1
RTKN2
RTN1
RTN4
RTN4RL1
RTN4RL2
RTTN
RUFY2
RUFY3
RUNDC3B
RUNX1
RUNX2
RUSC2
RUVBL1
RUVBL2
RXFP2
RYK
RYR1
RYR2
RYR3
S100A13
S100A14
S100A16
S100A8
S100B
S100PBP
S100Z
S1PR5
SAAL1
SACS
SAE1
SAFB
SALL1
SALL1P1
SALL2
SALL3
SALL4
SAMD1
SAMD12
SAMD3
SAMD4A
SAMD8
SAMD9
SAMD9L
SAMHD1
SAMSN1
SAP130
SAP30BP
SAP30L-AS1
SAR1A
SAR1B
SARM1
SARS2
SART3
SASH1
SASS6
SATB2
SAV1
SAYSD1
SBDS
SBF2
SBF2-AS1
SBNO1
SBSPON
SC5D
SCAF11
SCAF4
SCAI
SCAMP1
SCAMP4
SCAMP5
SCAND1
SCAP
SCAPER
SCARA5
SCARB1
SCARB2
SCEL
SCFD1
SCFD2
SCG5
SCGB1D4
SCGB2A2
SCGB2B2
SCHIP1
SCIMP
SCIN
SCLT1
SCMH1
SCML2
SCML4
SCN10A
SCN11A
SCN1A
SCN1B
SCN2A
SCN3A
SCN4A
SCN5A
SCN8A
SCN9A
SCNN1A
SCNN1B
SCNN1D
SCO1
SCP2
SCRT2
SCTR
SCUBE1
SCYL1
SCYL2
SCYL3
SDAD1
SDC2
SDC3
SDCCAG8
SDHA
SDHAP3
SDHB
SDHC
SDHD
SDK1
SDK2
SDR16C5
SDR42E1
SDR42E2
SEC11A
SEC14L1
SEC14L4
SEC14L5
SEC14L6
SEC1P
SEC22C
SEC23B
SEC24B
SEC24C
SEC24D
SEC63
SEC63P1
SEL1L2
SEL1L3
SEMA3A
SEMA3C
SEMA3D
SEMA4B
SEMA4D
SEMA4F
SEMA5A
SEMA6D
SEMA7A
SENP5
SENP7
SEPHS1
SEPN1
SEPSECS
SEPT11
SEPT12
SEPT14
SEPT3
SEPT6
SEPT7
SEPT7P2
SEPT7P9
SEPT9
SERAC1
SERF2
SERGEF
SERHL2
SERINC1
SERINC2
SERINC4
SERINC5
SERP2
SERPINA1
SERPINA6
SERPINB2
SERPINB5
SERPINB7
SERPINB8
SERPINC1
SERPIND1
SERPINE3
SERPING1
SERPINH1
SERTAD2
SESTD1
SETBP1
SETD1A
SETD2
SETD4
SETD5
SETD7
SETX
SEZ6L
SF3A1
SF3B4
SFI1
SFMBT1
SFMBT2
SFPQ
SFRP1
SFRP4
SFTA3
SFXN5
SGCA
SGCB
SGCD
SGCE
SGCG
SGCZ
SGK3
SGMS1
SGOL1
SGOL1-AS1
SGPL1
SGSH
SGSM1
SGSM3
SGTA
SH2B1
SH2D4A
SH3BGRL
SH3BP2
SH3BP4
SH3BP5
SH3BP5-AS1
SH3GL2
SH3GL3
SH3KBP1
SH3PXD2A
SH3PXD2B
SH3RF1
SH3RF3
SH3TC2
SH3YL1
SHANK1
SHANK2
SHANK3
SHARPIN
SHB
SHC2
SHC4
SHF
SHH
SHISA5
SHISA6
SHISA9
SHOC2
SHOX
SHROOM2
SHROOM3
SHROOM4
SI
SIAH1
SIGLEC10
SIGLEC15
SIGLECL1
SIK3
SIL1
SIM1
SIM2
SIN3A
SIPA1L1
SIPA1L3
SIRPA
SIRPB1
SIRPB2
SIRPB3P
SIRPG
SIRT1
SIRT3
SIX1
SIX3
SKA3
SKAP1
SKAP2
SKI
SKIDA1
SKINTL
SKIV2L2
SLAIN1
SLAIN2
SLC10A7
SLC11A2
SLC12A1
SLC12A2
SLC12A3
SLC12A4
SLC12A6
SLC12A9
SLC13A1
SLC13A2
SLC13A3
SLC13A5
SLC14A2
SLC15A1
SLC15A5
SLC16A12
SLC16A2
SLC16A4
SLC16A6
SLC16A9
SLC17A3
SLC17A4
SLC17A5
SLC17A8
SLC19A1
SLC19A3
SLC1A2
SLC1A3
SLC1A4
SLC1A7
SLC20A2
SLC22A10
SLC22A13
SLC22A16
SLC22A23
SLC22A24
SLC22A25
SLC22A4
SLC22A5
SLC23A2
SLC23A3
SLC24A2
SLC24A3
SLC24A4
SLC24A5
SLC25A10
SLC25A12
SLC25A13
SLC25A14
SLC25A15
SLC25A15P5
SLC25A17
SLC25A18
SLC25A19
SLC25A20
SLC25A21
SLC25A22
SLC25A23
SLC25A24P1
SLC25A26
SLC25A30
SLC25A31
SLC25A36
SLC25A37
SLC25A38
SLC25A42
SLC25A46
SLC25A48
SLC25A53
SLC25A6
SLC26A1
SLC26A11
SLC26A2
SLC26A3
SLC26A4
SLC26A4-AS1
SLC26A5
SLC27A1
SLC27A2
SLC27A6
SLC29A1
SLC29A3
SLC2A1
SLC2A10
SLC2A13
SLC2A14
SLC2A2
SLC2A9
SLC30A10
SLC30A4
SLC30A5
SLC30A6
SLC30A7
SLC30A9
SLC34A1
SLC34A3
SLC35A2
SLC35A3
SLC35B3
SLC35C1
SLC35D1
SLC35E2B
SLC35E3
SLC35F1
SLC35F4
SLC36A3
SLC36A4
SLC37A3
SLC37A4
SLC38A1
SLC38A4
SLC38A6
SLC38A9
SLC39A11
SLC39A12
SLC39A14
SLC39A8
SLC39A9
SLC3A1
SLC41A2
SLC43A1
SLC43A2
SLC44A1
SLC44A4
SLC44A5
SLC45A2
SLC47A1
SLC4A1
SLC4A4
SLC4A5
SLC4A7
SLC4A8
SLC52A2
SLC52A3
SLC5A1
SLC5A10
SLC5A12
SLC5A2
SLC5A3
SLC5A4
SLC5A8
SLC5A9
SLC6A1
SLC6A1-AS1
SLC6A10P
SLC6A11
SLC6A17
SLC6A19
SLC6A2
SLC6A20
SLC6A3
SLC6A5
SLC6A8
SLC6A9
SLC7A11-AS1
SLC7A13
SLC7A2
SLC7A7
SLC7A8
SLC7A9
SLC8A1
SLC8A1-AS1
SLC8A2
SLC8A3
SLC8B1
SLC9A1
SLC9A2
SLC9A3
SLC9A3R2
SLC9A4
SLC9A6
SLC9A8
SLC9A9
SLC9B1P2
SLC9B1P3
SLC9C1
SLCO1A2
SLCO1B1
SLCO1B3
SLCO1B7
SLCO2A1
SLCO2B1
SLCO3A1
SLCO4C1
SLCO6A1
SLIRP
SLIT2
SLIT3
SLITRK2
SLMAP
SLN
SLX4
SLX4IP
SMAD2
SMAD3
SMAD4
SMAD6
SMAD9
SMAP1
SMARCA1
SMARCA2
SMARCA4
SMARCAL1
SMARCB1
SMARCC1
SMARCE1
SMARCE1P5
SMC1A
SMC1B
SMC2
SMC3
SMC6
SMCHD1
SMCO2
SMDT1
SMG1
SMG6
SMG7
SMG9
SMIM12
SMIM13
SMIM20
SMIM21
SMIM4
SMN1
SMO
SMOC1
SMOX
SMPD1
SMPD3
SMPD4P1
SMPX
SMS
SMTN
SMU1
SMYD1
SMYD4
SMYD5
SNAI1
SNAP23
SNAP25
SNAP25-AS1
SNAP29
SNAP47
SNCA
SNCAIP
SND1
SNHG12
SNHG14
SNHG17
SNIP1
SNORA71A
SNPH
SNRK
SNRK-AS1
SNRNP40
SNRNP48
SNRPA
SNRPD1
SNRPN
SNTA1
SNTB1
SNTB2
SNTG1
SNTG2
SNW1
SNX1
SNX13
SNX14
SNX18
SNX20
SNX24
SNX29
SNX29P2
SNX31
SNX5
SNX6
SNX8
SOBP
SOCS4
SOCS6
SOD1
SOD2
SOGA1
SOGA2
SON
SORBS1
SORBS3
SORCS1
SORCS2
SORCS3
SORD
SORL1
SOS1
SOS2
SOX10
SOX11
SOX2
SOX2-OT
SOX5
SOX6
SOX7
SOX9
SOX9-AS1
SP2
SP4
SP6
SPACA3
SPACA5B
SPACA6P
SPAG1
SPAG11A
SPAG11B
SPAG16
SPAG9
SPANXA2-OT1
SPARCL1
SPAST
SPATA13
SPATA16
SPATA18
SPATA2
SPATA20
SPATA22
SPATA31A3
SPATA33
SPATA5
SPATA5L1
SPATA6
SPATA7
SPATC1L
SPATS2
SPATS2L
SPDEF
SPDYA
SPDYE1
SPECC1
SPECC1L
SPECC1L-ADORA2A
SPEF2
SPEG
SPEN
SPESP1
SPG11
SPG20
SPG21
SPG7
SPIDR
SPIN3
SPINK2
SPINK4
SPINK5
SPINK8
SPINT2
SPINT3
SPIRE1
SPIRE2
SPN
SPNS2
SPO11
SPOCD1
SPOCK1
SPOCK2
SPOCK3
SPON1
SPOP
SPOPL
SPP1
SPPL2A
SPPL2B
SPR
SPRED1
SPRED2
SPRN
SPRY2
SPRYD3
SPRYD7
SPSB1
SPSB3
SPTA1
SPTAN1
SPTB
SPTBN2
SPTBN4
SPTBN5
SPTLC1
SPTLC2
SPTLC3
SPTSSA
SPTY2D1
SPTY2D1-AS1
SQRDL
SRBD1
SRCAP
SRCIN1
SRD5A1
SRD5A2
SRD5A3
SREBF2
SREK1
SRFBP1
SRGAP1
SRGAP2B
SRGAP3
SRP54
SRP68
SRP72
SRPK1
SRPR
SRRM2-AS1
SRRM3
SRRM4
SRRM5
SRSF12
SRSF4
SRSF5
SRSF7
SRSF8
SS18
SSBP2
SSFA2
SSH2
SSPN
SSPO
SSR1
SSU72
SSUH2
SSX2IP
SSX4
SSX4B
SSXP3
ST13
ST18
ST3GAL2
ST3GAL3
ST5
ST6GAL2
ST6GALNAC3
ST6GALNAC5
ST7
ST7-OT4
ST8SIA1
ST8SIA4
ST8SIA5
ST8SIA6
ST8SIA6-AS1
STAB1
STAB2
STAC
STAG1
STAG2
STAG3L1
STAG3L2
STAM
STAM2
STAMBP
STAMBPL1
STAP1
STAR
STARD13
STARD3NL
STARD4
STARD4-AS1
STARD5
STARD6
STARD7-AS1
STARD8
STARD9
STAT1
STAT3
STAT6
STAU1
STAU2
STAU2-AS1
STEAP2
STEAP2-AS1
STIL
STIM1
STIM2
STK11
STK17A
STK19
STK3
STK31
STK32B
STK32C
STK33
STK35
STK38
STK38L
STK4
STMN4
STMND1
STON1
STON1-GTF2A1L
STPG1
STPG2
STPG2-AS1
STRA6
STRBP
STRC
STRIP1
STRN
STRN3
STS
STSP1
STT3B
STX12
STX16
STX16-NPEPL1
STX18
STX18-AS1
STX1A
STX1B
STX3
STX8
STXBP1
STXBP2
STXBP4
STXBP5-AS1
STXBP5L
STXBP6
STYX
STYXL1
SUB1
SUCLA2
SUCLG1
SUCLG2
SUDS3
SUFU
SUGCT
SUGP1
SUGT1
SULF1
SULF2
SULT2A1
SULT2B1
SULT4A1
SUMF1
SUMO3
SUN1
SUN3
SUPT16H
SUPT20H
SUPT3H
SUPT5H
SUPT6H
SUPT7L
SURF1
SUSD1
SUSD5
SUV420H1
SUZ12
SV2B
SV2C
SVIL
SVILP1
SVOP
SWAP70
SYBU
SYCE1L
SYCP2L
SYK
SYMPK
SYN1
SYN2
SYN3
SYNC
SYNDIG1
SYNDIG1L
SYNE1
SYNE2
SYNE4
SYNGAP1
SYNGR1
SYNGR4
SYNJ1
SYNM
SYNPO2L
SYNPR
SYNPR-AS1
SYP
SYPL2
SYS1-DBNDD2
SYT1
SYT16
SYT17
SYT2
SYT3
SYT9
SYTL2
SZT2
TAB2
TAB3
TAB3P1
TAC1
TAC3
TACC1
TACC1P1
TACC2
TACC3
TACR1
TACR3
TADA2A
TADA2B
TAF1B
TAF1D
TAF1L
TAF3
TAF4B
TAF7L
TAF8
TAL1
TAMM41
TANC2
TANGO2
TANGO6
TAOK1
TAOK3
TAPT1-AS1
TARDBP
TARS
TAS1R1
TAS2R1
TAS2R14
TAS2R64P
TASP1
TAT
TATDN2P1
TAX1BP1
TAZ
TBC1D1
TBC1D10A
TBC1D14
TBC1D15
TBC1D19
TBC1D2
TBC1D20
TBC1D21
TBC1D22A
TBC1D24
TBC1D25
TBC1D26
TBC1D2B
TBC1D3
TBC1D30
TBC1D32
TBC1D3C
TBC1D3H
TBC1D3P1-DHX40P1
TBC1D4
TBC1D5
TBC1D7
TBC1D8
TBCA
TBCB
TBCD
TBCE
TBCK
TBK1
TBL1X
TBL1XR1
TBL1XR1-AS1
TBL1Y
TBPL2
TBR1
TBX1
TBX15
TBX18
TBX20
TBX22
TBX3
TBX4
TBX5
TBXAS1
TCAP
TCEANC2
TCF12
TCF20
TCF24
TCF25
TCF3
TCF4
TCF7L1
TCF7L2
TCIRG1
TCN2
TCOF1
TCP10L
TCP11
TCP11L1
TCP11X1
TCP11X2
TCTE1
TCTN1
TCTN2
TCTN3
TDGF1
TDH
TDO2
TDRD12
TDRD15
TDRD3
TDRD5
TDRD6
TDRD7
TDRP
TEAD1
TEAD2
TEAD4
TEC
TECPR1
TECRL
TECTA
TEF
TEK
TEKT1
TEKT4P2
TEKT5
TELO2
TEN1
TEN1-CDK3
TENM1
TENM2
TENM3
TENM4
TERC
TERF1
TERF2IP
TERT
TESK2
TESPA1
TET1
TET3
TEX10
TEX101
TEX11
TEX15
TEX2
TEX26
TEX26-AS1
TEX264
TEX36
TEX41
TEX9
TFAP2A
TFAP2B
TFAP2D
TFB1M
TFCP2
TFCP2L1
TFDP1
TFE3
TFG
TG
TGFB1
TGFB2
TGFB3
TGFBR1
TGFBR2
TGFBR3
TGIF1
TGM1
TGM4
TGM5
TGM7
TH
THADA
THAP1
THAP5
THEGL
THEM4
THEMIS
THEMIS3P
THG1L
THNSL2
THOC1
THOC2
THOC6
THOP1
THRA
THRAP3
THRAP3P1
THRB
THSD1
THSD4
THSD7A
THSD7B
THUMPD2
TIA1
TIAM1
TIAM2
TICRR
TIMM17B
TIMM21
TIMM23
TIMM23B
TIMM50
TIMP2
TIMP3
TINCR
TINF2
TIPIN
TJAP1
TJP1
TJP2
TK2
TKT
TLCD2
TLE1
TLE3
TLE6
TLK2
TLK2P1
TLL1
TLL2
TLN2
TLR1
TLR6
TLR7
TM2D2
TM2D3
TM4SF5
TM6SF2
TM9SF1
TM9SF2
TM9SF3
TM9SF4
TMBIM4
TMC1
TMC2
TMC3
TMC4
TMC5
TMCC1
TMCC1-AS1
TMCO1
TMCO3
TMCO4
TMCO5A
TMED3
TMEFF1
TMEM109
TMEM11
TMEM110
TMEM110-MUSTN1
TMEM117
TMEM127
TMEM129
TMEM132B
TMEM132C
TMEM132D
TMEM132E
TMEM14A
TMEM14B
TMEM151B
TMEM154
TMEM156
TMEM161B-AS1
TMEM163
TMEM165
TMEM170B
TMEM178A
TMEM178B
TMEM182
TMEM184B
TMEM184C
TMEM185A
TMEM189
TMEM189-UBE2V1
TMEM194A
TMEM196
TMEM198B
TMEM199
TMEM2
TMEM200A
TMEM209
TMEM212
TMEM216
TMEM217
TMEM220
TMEM221
TMEM229B
TMEM231
TMEM232
TMEM237
TMEM238
TMEM239
TMEM240
TMEM241
TMEM245
TMEM247
TMEM252
TMEM258
TMEM260
TMEM261
TMEM27
TMEM35
TMEM39A
TMEM39B
TMEM40
TMEM45A
TMEM45B
TMEM47
TMEM51
TMEM53
TMEM56
TMEM56-RWDD3
TMEM57
TMEM62
TMEM63B
TMEM67
TMEM70
TMEM72
TMEM72-AS1
TMEM87A
TMEM8B
TMEM91
TMEM99
TMIE
TMIGD1
TMLHE
TMOD1
TMOD2
TMOD3
TMPPE
TMPRSS11D
TMPRSS11GP
TMPRSS15
TMPRSS3
TMPRSS5
TMPRSS6
TMPRSS7
TMSB15B
TMTC1
TMTC3
TMX1
TMX2
TMX2-CTNND1
TMX4
TNC
TNFAIP8L3
TNFRSF13B
TNFRSF17
TNFRSF19
TNFRSF1A
TNFRSF21
TNFRSF8
TNFRSF9
TNFSF13B
TNFSF9
TNIK
TNKS
TNKS2
TNKS2-AS1
TNNC1
TNNI2
TNNI3
TNNI3K
TNNT1
TNNT2
TNPO1
TNPO3
TNR
TNRC18
TNRC6A
TNRC6B
TNS3
TNS4
TNXB
TOB1
TOB1-AS1
TOB2
TOM1
TOM1L1
TOM1L2
TOMM34
TOMM40
TOMM70A
TOP1
TOP3A
TOPAZ1
TOPBP1
TOPORS-AS1
TOX
TOX2
TOX3
TOX4
TP53
TP53AIP1
TP53BP1
TP53I11
TP53TG3C
TP53TG5
TP63
TP73
TPCN2
TPD52
TPD52L1
TPH1
TPH2
TPK1
TPM1
TPM2
TPM3
TPO
TPP1
TPP2
TPPP
TPRKB
TPRX2P
TPRXL
TPSB2
TPSG1
TPST1
TPT1-AS1
TPTE
TPTE2
TPTE2P2
TPTE2P3
TPTE2P4
TPTE2P5
TPTE2P6
TPTEP1
TPX2
TRA2A
TRABD2B
TRAF3
TRAF3IP2
TRAF3IP2-AS1
TRAFD1
TRAK1
TRAM1
TRAM2
TRAM2-AS1
TRANK1
TRAPPC10
TRAPPC11
TRAPPC12
TRAPPC2
TRAPPC2L
TRAPPC8
TRAPPC9
TRDN
TREM1
TREML4
TREML5P
TRERF1
TREX1
TRGC1
TRGC2
TRHDE
TRHDE-AS1
TRHR
TRIB2
TRIM14
TRIM16
TRIM16L
TRIM2
TRIM22
TRIM27
TRIM3
TRIM31
TRIM31-AS1
TRIM32
TRIM37
TRIM44
TRIM49B
TRIM49C
TRIM49D1
TRIM5
TRIM51BP
TRIM51EP
TRIM53BP
TRIM56
TRIM6
TRIM6-TRIM34
TRIM60P10Y
TRIM60P15
TRIM71
TRIM72
TRIM9
TRIO
TRIOBP
TRIP11
TRIP12
TRIP4
TRMT13
TRMT2B
TRMT2B-AS1
TRMT61B
TRMU
TRNAU1AP
TRNT1
TRPA1
TRPC1
TRPC2
TRPC4
TRPC5
TRPC5OS
TRPC6
TRPC7
TRPM1
TRPM2
TRPM3
TRPM6
TRPM7
TRPS1
TRPV1
TRPV3
TRPV4
TRUB1
TSC1
TSC2
TSC22D1
TSEN2
TSEN54
TSG101
TSGA10
TSHR
TSHZ1
TSHZ2
TSHZ3
TSIX
TSPAN12
TSPAN18
TSPAN32
TSPAN33
TSPAN4
TSPAN5
TSPAN7
TSPAN8
TSPAN9
TSPEAR
TSPO
TSR3
TSSC1
TSSC1-IT1
TSSC2
TSSK3
TSTD2
TTBK1
TTBK2
TTC17
TTC19
TTC21B
TTC22
TTC23
TTC25
TTC27
TTC28
TTC3
TTC33
TTC34
TTC37
TTC39A
TTC39B
TTC39C
TTC5
TTC6
TTC7A
TTC7B
TTC8
TTI1
TTI2
TTK
TTLL1
TTLL11
TTLL12
TTLL3
TTLL5
TTN
TTN-AS1
TTPA
TTR
TTTY14
TTTY16
TTTY1B
TTTY2B
TTTY3
TTTY4B
TTYH2
TTYH3
TUB
TUBA1A
TUBA3C
TUBA8
TUBB
TUBB2A
TUBB2B
TUBB3
TUBB4A
TUBB6
TUBB8
TUBB8P5
TUBD1
TUBG1
TUBGCP2
TUBGCP4
TUBGCP6
TULP1
TULP3
TUSC2
TUSC3
TUSC7
TVP23A
TVP23C
TVP23C-CDRT4
TWF1
TWIST1
TWSG1
TXLNA
TXLNB
TXLNG
TXLNG2P
TXNDC12
TXNDC12-AS1
TXNDC16
TXNDC5
TXNL4A
TXNL4B
TXNRD1
TYK2
TYMP
TYR
TYRL
TYRO3
TYRP1
TYSND1
TYW1
TYW1B
U2AF1
UACA
UBA2
UBA6
UBA6-AS1
UBAP2
UBAP2L
UBASH3B
UBD
UBE2E1
UBE2E2
UBE2H
UBE2J1
UBE2J2
UBE2K
UBE2L3
UBE2QL1
UBE2R2
UBE2U
UBE2V1
UBE2V2
UBE2W
UBE3A
UBE3B
UBE4B
UBL7-AS1
UBP1
UBR1
UBR2
UBR3
UBR4
UBR5
UBTF
UBXN2A
UCHL1
UCHL1-AS1
UCP3
UEVLD
UFL1-AS1
UFM1
UGGT1
UGT1A1
UGT1A10
UGT1A3
UGT1A4
UGT1A5
UGT1A6
UGT1A7
UGT1A8
UGT1A9
UGT2B4
UGT3A2
UHRF1BP1L
UHRF2
ULK1
ULK2
ULK4
ULK4P1
ULK4P2
UMOD
UMODL1
UNC13A
UNC13B
UNC13C
UNC13D
UNC5B
UNC5CL
UNC5D
UNC79
UNC80
UNC93B5
UNCX
UNK
UNKL
UPF1
UPF2
UPF3B
UPK1B
UPK2
UPK3B
UQCC1
UQCRB
UQCRC2
URB1
URGCP-MRPS24
UROD
USB1
USH1C
USH2A
USHBP1
USO1
USP12
USP13
USP18
USP22
USP24
USP25
USP3
USP3-AS1
USP30
USP32
USP33
USP34
USP36
USP4
USP42
USP46
USP47
USP48
USP49
USP50
USP51
USP54
USP6
USP6NL
USP7
USP8
USP9X
USP9Y
USP9YP29
USP9YP9
USPL1
UST
UTP18
UTP20
UTP6
UTRN
UTS2
UTY
UVRAG
VAPA
VAPB
VARS
VARS2
VASH1
VASP
VAT1L
VAV2
VAV3
VAX1
VAX2
VCL
VCP
VDAC1
VDAC2
VDR
VEPH1
VGLL3
VGLL4
VHL
VIPAS39
VIPR1
VIT
VLDLR
VMP1
VN2R3P
VN2R6P
VOPP1
VPRBP
VPS13A
VPS13B
VPS13C
VPS13D
VPS26A
VPS33B
VPS35
VPS36
VPS37A
VPS39
VPS41
VPS52
VPS53
VPS54
VPS8
VRK1
VRK2
VRK3
VSIG1
VSIG4
VSNL1
VSTM2A
VSTM2B
VSTM2L
VSTM4
VSTM5
VSX2
VTI1A
VTI1B
VTN
VWA3A
VWA5B1
VWA8
VWC2
VWF
WAC
WAPAL
WARS
WARS2
WARS2-IT1
WAS
WASF1
WASH3P
WBP2NL
WBSCR16
WBSCR17
WBSCR22
WDFY2
WDFY4
WDPCP
WDR1
WDR11-AS1
WDR16
WDR17
WDR19
WDR25
WDR27
WDR33
WDR35
WDR37
WDR4
WDR41
WDR43
WDR45
WDR59
WDR6
WDR60
WDR62
WDR64
WDR65
WDR7
WDR70
WDR72
WDR76
WDR78
WDR81
WDR82
WDR87
WDR95P
WDSUB1
WDTC1
WFDC11
WFDC2
WFDC8
WFDC9
WFIKKN2
WFS1
WHSC1
WHSC1L1
WIF1
WIPF2
WIPI2
WIZ
WLS
WNK1
WNK2
WNT10A
WNT2
WNT3
WNT5A
WNT5B
WNT7A
WNT7B
WNT9A
WNT9B
WRAP53
WRAP73
WRB
WRN
WRNIP1
WSB1
WSCD1
WT1
WT1-AS
WWC2
WWC3
WWOX
WWP2
WWTR1
XAGE1C
XAGE1D
XAGE1E
XAGE3
XDH
XG
XIAP
XIRP2
XKR4
XKR6
XKR9
XKRX
XPA
XPC
XPNPEP1
XPNPEP3
XPO1
XPO4
XPO5
XPO6
XPO7
XRCC1
XRCC2
XRCC6
XRN2
XRRA1
XYLT1
YAF2
YAP1
YARS2
YBEY
YES1
YIPF4
YKT6
YLPM1
YPEL1
YPEL2
YRDC
YTHDC1
YTHDC2
YTHDF2
YWHAB
YWHAE
YWHAEP7
YWHAH
YWHAQ
YY1
YY2
ZACN
ZAN
ZAP70
ZAR1L
ZBBX
ZBED3-AS1
ZBED5
ZBED5-AS1
ZBTB10
ZBTB16
ZBTB17
ZBTB20
ZBTB21
ZBTB34
ZBTB46
ZBTB47
ZBTB7C
ZBTB8A
ZBTB8B
ZBTB8OS
ZC3H12C
ZC3H12D
ZC3H18
ZC3H4
ZC3H7A
ZC3H7B
ZC3HC1
ZC4H2
ZCCHC11
ZCCHC17
ZCCHC2
ZCCHC4
ZCCHC6
ZCCHC7
ZCRB1
ZCWPW2
ZDHHC1
ZDHHC11
ZDHHC11B
ZDHHC13
ZDHHC15
ZDHHC17
ZDHHC20
ZDHHC20P1
ZDHHC24
ZDHHC3
ZDHHC5
ZDHHC9
ZEB1
ZEB1-AS1
ZEB2
ZEB2P1
ZFAND3
ZFC3H1
ZFHX3
ZFHX4
ZFHX4-AS1
ZFP1
ZFP2
ZFP30
ZFP36L1
ZFP64
ZFP90
ZFPM1
ZFR
ZFR2
ZFRP1
ZFX
ZFY
ZFY-AS1
ZFYVE1
ZFYVE16
ZFYVE20
ZFYVE21
ZFYVE26
ZFYVE28
ZFYVE9
ZHX1
ZHX1-C8ORF76
ZHX2
ZHX3
ZIC1
ZIC2
ZIC3
ZIC5
ZIM2
ZKSCAN8
ZMAT1
ZMAT4
ZMIZ1
ZMIZ1-AS1
ZMPSTE24
ZMYM1
ZMYM2
ZMYM4
ZMYM6
ZMYND11
ZMYND19
ZMYND8
ZNF100
ZNF106
ZNF107
ZNF112
ZNF114
ZNF131
ZNF133
ZNF143
ZNF155
ZNF157
ZNF160
ZNF175
ZNF177
ZNF182
ZNF19
ZNF195
ZNF207
ZNF208
ZNF215
ZNF217
ZNF229
ZNF230
ZNF232
ZNF236
ZNF239
ZNF24
ZNF248
ZNF25
ZNF251
ZNF257
ZNF260
ZNF267
ZNF271
ZNF276
ZNF277
ZNF280C
ZNF280D
ZNF282
ZNF284
ZNF285
ZNF286A
ZNF286B
ZNF292
ZNF3
ZNF318
ZNF32
ZNF32-AS1
ZNF32-AS3
ZNF321P
ZNF335
ZNF337-AS1
ZNF33A
ZNF341
ZNF343
ZNF347
ZNF350
ZNF358
ZNF362
ZNF365
ZNF366
ZNF37BP
ZNF385B
ZNF385D
ZNF385D-AS1
ZNF385D-AS2
ZNF395
ZNF396
ZNF397
ZNF407
ZNF408
ZNF410
ZNF420
ZNF423
ZNF428
ZNF429
ZNF43
ZNF430
ZNF431
ZNF432
ZNF433
ZNF438
ZNF44
ZNF445
ZNF451
ZNF469
ZNF474
ZNF483
ZNF485
ZNF488
ZNF490
ZNF500
ZNF503-AS1
ZNF507
ZNF511
ZNF514
ZNF516
ZNF518A
ZNF518B
ZNF526
ZNF528
ZNF529
ZNF532
ZNF534
ZNF536
ZNF540
ZNF541
ZNF549
ZNF555
ZNF556
ZNF558
ZNF559-ZNF177
ZNF562
ZNF564
ZNF565
ZNF566
ZNF567
ZNF568
ZNF57
ZNF573
ZNF576
ZNF582
ZNF583
ZNF584
ZNF585A
ZNF589
ZNF600
ZNF609
ZNF610
ZNF611
ZNF613
ZNF614
ZNF615
ZNF618
ZNF620
ZNF622
ZNF627
ZNF630
ZNF638
ZNF641
ZNF649
ZNF652
ZNF658
ZNF66
ZNF662
ZNF663P
ZNF665
ZNF667-AS1
ZNF675
ZNF680
ZNF681
ZNF682
ZNF683
ZNF684
ZNF687
ZNF69
ZNF700
ZNF701
ZNF704
ZNF705B
ZNF708
ZNF71
ZNF714
ZNF716
ZNF717
ZNF720
ZNF721
ZNF724P
ZNF726
ZNF727
ZNF732
ZNF740
ZNF75D
ZNF76
ZNF763
ZNF767
ZNF780B
ZNF781
ZNF793
ZNF804B
ZNF805
ZNF81
ZNF816
ZNF816-ZNF321P
ZNF821
ZNF827
ZNF841
ZNF846
ZNF85
ZNF852
ZNF876P
ZNF880
ZNF888
ZNF90
ZNF91
ZNFX1
ZNHIT1
ZNRF2
ZNRF2P2
ZNRF3
ZNRF3-AS1
ZP2
ZPBP
ZPLD1
ZRANB2-AS2
ZRANB3
ZRSR2
ZSCAN16-AS1
ZSCAN2
ZSCAN20
ZSCAN21
ZSCAN22
ZSCAN30
ZSCAN5A
ZSWIM3
ZSWIM4
ZSWIM5
ZSWIM6
ZYG11B
ZZZ3